Revista Colombiana de Salud Ocupacional, 4(1), Mar 2014, pp 15-21
ArtÃculo de Investigación Científica o Tecnológica
Conocimientos y Actitudes en la Aplicación de Normas de Bioseguridad del Personal del Servicio de Enfermería
KNOWLEDGE AND ATTITUDES IN THE STANDARDS OF BIOSAFETY IN PERSONAL OF A NURSING SERVICE
María del Pilar Echeverri Pastrana1 , Mercedes Salcedo Cifuentes2
1Profesional en Salud Ocupacional, Universidad del Quindío, MSc Salud Ocupacional, Universidad Libre Seccional Cali. Cali, Colombia. pabloaschner@gmail.com
2Bacterióloga y Laboratorista Clínico. Especialista en Calidad. MSc Epidemiología y PhD Ciencias Biomédicas, Universidad del Valle. Cali. Colombia.
Derechos de copia© Universidad Libre – Seccional Cali (Colombia).
Aceptado para publicación: Marzo 12 de 2014.
RESUMEN
Introducción: El riesgo biológico es el principal contribuyente a la accidentalidad laboral en el personal de enfermería quienes están continuamente expuestos, generando alta probabilidad de contagio con microorganismos, por ende, se hace necesario evaluar los conocimientos en riesgo biológico y las actitudes del personal de enfermería en la aplicación de normas de bioseguridad.
Metodología: Estudio descriptivo, correlacional, de corte transversal en 131 profesionales y auxiliares de enfermería, en el que se evaluaron conocimientos y actitudes que tienen frente al tema de riesgo biológico, medidas de protección y buenas prácticas. Se utilizó estadística descriptiva y un análisis bivariado usando tanto Chi2 como del Test Exacto de Fisher, considerando alfa 0,05.
Resultados: El 85% de la muestra eran auxiliares de enfermería y el 89% mujeres. Más del 80% tienen niveles de conocimiento entre medio y bajo. En más del 60% la actitud frente a la aplicación de las normas de bioseguridad fue desfavorable o indiferente. Se evidenció una relación estadísticamente significativa entre el nivel de conocimientos y las actitudes (P <0,05).
Conclusiones: Se evidencia la necesidad de mejorar los conocimientos y actitudes necesarias del personal de enfermería en el tema de riesgo biológico, de tal forma que puedan reconocerlo y mitigar sus consecuencias.
Palabras clave: Enfermería, Bioseguridad, Riesgo, Conocimientos y Prácticas. Línea de investigación: promoción de entornos saludables y prevención de riesgos laborales.
ABSTRACT
Introduction: The Biohazard is the main contributor to labor accidents in nursing staff, who are continually exposed generating high probability of infection with microorganisms; therefore, it is necessary to assess knowledge in biohazard and the attitudes of nurses in implementing biosafety standards.
Methodology: Descriptive, correlational, and cross-sectional study in 131 workers of a nursing service (professionals and assistants), in which knowledge and attitudes on the issues of biological risk, protection measures, and good practices were assessed. Descriptive statistics were used and both bivariate analysis using Chi2 and the Fisher exact test, considering alpha 0.05.
Results: The 85% of the participants were nursing assistants, and 89% females. Over 80% have levels of knowledge between medium and low; and over 60% attitudes towards implementing biosafety standards was unfavorable or indifferent. A statistically significant relationship between the level of knowledge and attitudes (P <0.05) was evident.
Conclusions: the need to improve the knowledge and attitudes of nurses on the issue of biological risk, so they can recognize and mitigate its consequences evidence.
Keywords: Nursing, Biosafety, Risk, Knowledge and Practices. Research line: promoting healthy environments and prevention of occupational risks.
INTRODUCCIÓN
Los trabajadores, en su quehacer diario están expuestos a múltiples riesgos de origen físico, químico, psicológico, biológico, entre otros. Esto no está ausente en el ambiente laboral de un profesional de la salud, en quienes, la exposición accidental se orienta con más frecuencia al riesgo biológico.1
Se sabe que la carencia de conocimientos determina comportamientos equivocados y erróneos, situación que debe ser tomada en cuenta en los profesionales de la salud, sobre todo en el personal de enfermería, por ser uno de los pilares fundamentales de la multiplicación de conocimientos dentro de la comunidad.2 De hecho, las tasas anuales de la exposición ocupacional a fluidos biológicos como la sangre fueron más altas en enfermeras y parteras (6,5 por 100 frente al 3,5 del total) según los estudios de Denis et al. (2003), con una riesgo 4,27 más alto que el de los médicos.3
Por otra parte, la Administración Federal de Salud y Seguridad Ocupacional (OSHA), realizó un estudio en el 2013 en el cual estimó que 5,6 millones de trabajadores de la salud se exponen a microorganismos patógenos transmitidos por la sangre. Además, en promedio, sucedieron 30 eventos por punciones con agujas en hospitales de Estados Unidos por cada 100 camas. 4 Sumado a esto, el subregistro es de aproximadamente del 41%, lo cual se debe en más del 50% de los casos, al desinterés del trabajador por reportarlo. 5,6 Para otros autores, la proporción de reportes de accidentes con elementos cortopunzantes va del 35% hasta el 96% y entre el 15% y el 50% la exposición a fluidos biológicos y son las enfermeras en el entorno pre-quirúrgico las profesionales de mayor riesgo dadas sus funciones.7-9
En la mayoría de los estudios, los enfermeros y auxiliares de enfermería, constituyen la categoría asistencial con mayor exposición al riesgo biológico, situación desencadenada por intensa actividad junto a pacientes críticos, la carga horaria de trabajo, la rutina estresante, el mayor número de atenciones realizadas, así como la negligencia en el uso de medidas de precaución o elementos de protección personal, en el lavado de manos, el cumplimento de protocolos de protección personal como son la vacunación contra la hepatitis B y el descarte apropiado de los elementos cortopunzantes, todos factores importantes que causan o aumentan el riesgo biológico. 10-12
Todos estos trabajos indican que la falta de conocimiento, la preparación insuficiente para atender al usuario mitigando el riesgo biológico, su creencia de que el riesgo biológico es una parte regular de su trabajo, el no aplicar el principio universalidad, la falta de recursos en las mismas instituciones y la carga laboral aumentan el riesgo de contacto con los agentes biológicos. La magnitud de los costos de atención debidos a la exposición de riesgos biológicos es alta. La Oficina de Contabilidad General de los Estados Unidos de América (GAO),13 estimó que la profilaxis post-exposición (PPE) en los profesionales de la salud a raíz de punciones accidentales con agujas cuesta entre USD$ 500 -3.000,
aproximando esto a lo que sería un valor en el año, se calculó que estaba alrededor de USD$ 600.000 y la proyección del costo de atención por profesional fue de USD$ 3.000 por año.14
Algunos trabajos llevados a cabo en personal de enfermería logran evidenciar deficiencias en el nivel de conocimientos acerca de las infecciones intrahospitalarias y medidas para su prevención y control. En este mismo sentido, se identificaron debilidades en el adecuado lavado de manos por parte de los médicos y se encontró evidencia del uso inadecuado de los elementos de protección de barrera.15 Así, el estudio de Cruz et al. (2011) demostró que solo un 21% de los trabajadores de enfermería consideraban el uso de mascarilla de alta eficiencia en pacientes con Tuberculosis.16 Por otra parte, según los resultados de González (2007), existen diferencias significativas en el nivel de conocimiento según el grado de profesionalización y experiencia. 17
Los reportes estadísticos de la Institución Prestadora de Servicio de Salud (IPS) donde se realizó este estudio, mostraron 19 accidentes por riesgo biológico en el 2010, 35 en el 2011, 24 en el 2012 y 22 durante el 2013 se registraron 22. En todos estos periodos, estos reportes respondieron por más del 50% de los accidentes laborales. Cuando se indagó las causas que contribuyeron al accidente, se encontró que el desconocimiento en el uso correcto de elementos cortopunzantes y de elementos de protección personal eran los más prevalentes.18
Tratando de subsanar debilidades metodológicas detectados en trabajos nacionales y levantar una línea de base que le permitiría a las directivas de las instituciones hospitalarias la toma de decisiones con relación al tema, se propuso este estudio para establecer cuáles son los conocimientos en bioseguridad y actitudes del personal de enfermería en la aplicación de normas de bioseguridad.
METODOLOGÍA
Tipo de estudio, diseño y población: Se realizó un estudio descriptivo, de corte transversal. Para el cálculo de tamaño de muestra se consideró una prevalencia a la exposición y conocimiento de riesgo biológico del 50%, un nivel de confianza del 95%, error de muestreo del 5% y una estratificación por afijación; lo cual arrojo un total de 131 trabajadores del área de enfermería.
Criterios de inclusión y exclusión: Fueron incluidos enfermeros y auxiliares de enfermería, vinculados directamente o temporales, mayores de 18 años, de ambos sexos y que aceptaron participar voluntariamente del estudio (ver Tabla 1). Se excluyeron las estudiantes de enfermería, personal en vacaciones, con incapacidad o licencias, auxiliares de enfermería de la central de esterilización y de programación de cirugía y otros profesionales de la salud.
| Sala | N | n |
|---|---|---|
| Consulta externa | 11 | 7 |
| Medicina interna | 25 | 17 |
| Observación | 12 | 8 |
| Obstetricia | 29 | 19 |
| Quirúrgicas | 17 | 11 |
| Recién nacidos | 16 | 11 |
| UCI | 5 | 3 |
| Urgencias | 27 | 18 |
| Enfermería | 30 | 20 |
| Cirugía | 24 | 17 |
| Total | 196 | 131 |
Evaluación de conocimientos y actitudes en bioseguridad: Para determinar los conocimientos en bioseguridad del personal de enfermería y su actitud en la aplicación de normas de bioseguridad, se utilizó el instrumento "Cuestionario sobre conocimientos y actitudes en bioseguridad", ajustado a partir de los cuestionarios de González (2007) y Alarcón et al. (2012). Se consideraron variables sociodemográficas y laborales (edad, género, estado civil, nivel de escolaridad, antigüedad en el cargo), de conocimientos básicos sobre riesgo biológico (cuestionario individual y con selección de respuesta única) y actitudes frente a la exposición con agentes biológicos y la bioseguridad. 19,20 La calificación de las actitudes se apoyó en una escala de medición tipo Likert que permitió el acercamiento a la variabilidad afectiva de los profesionales frente al cuidado de la salud, a través de la siguiente valoración: Muy De Acuerdo (MDA), De Acuerdo (DA), Indiferente-Indeciso (I), En Desacuerdo (ED), Muy En Desacuerdo (MED). 21 La consistencia interna del documento se valoró a través del cálculo del Alfa de Cronbach.
Análisis de datos: Se llevó a cabo un análisis descriptivo de cada una de las variables teniendo en cuenta su naturaleza y distribución calculándose sus medidas de tendencia central en aquellas variables cuantitativas y proporciones y razones en las cualitativas. En el análisis bivariado, se consideraron tabulaciones cruzadas utilizando variables sociodemográficas y se calcularon asociaciones usando tanto la prueba del Chi Cuadrado como del test Exacto de Fisher, bajo un nivel de significancia del 0,05. Para la calificación de conocimientos en escala ordinal (alto, medio y bajo) se calcularon los cuartiles de la distribución de puntajes totales de la escala obtenidos en los datos globales. Con éstos cuartiles se calcularon los porcentajes de encuestados con puntuaciones por debajo del 25%, 50% y 75% de la distribución total de los puntajes. En el caso de actitudes, se utilizó de igual forma la distribución por cuartiles, esta se clasificó como: desfavorable, indiferente y favorable.
Consideraciones éticas: El proyecto cumplió con el código internacional de ética para los profesionales de la Salud Ocupacional, siguió con todos los requerimientos de la Resolución 008430 del 04 de octubre de 1993 y tanto el proyecto como el diseño del consentimiento informado fue aprobado por el comité de ética de la Universidad Libre Seccional Cali a través de Acta No. 03, 07 de Abril de 2014.
RESULTADOS
El instrumento con el cual se valoraron los conocimientos y actitudes entre los trabajadores de enfermería incluidos en el estudio, se evaluó en cuatro pruebas pilotos, en cada una de las cuales se consideraron 30 sujetos. Los datos fueron sistematizados para posteriormente evaluar la consistencia interna del instrumento a través del Alfa de Cronbach. El resultado final de este índice con el cual se aceptó el instrumento y se inició la recolección de datos finales fue de 0,705, considerado aceptable. Los valores arrojados por el Alfa de Cronbach durante las cuatro pruebas pilotos, con el resultado final aceptado se resume en la tabla 2.
| Piloto | n | Alfa de Cronbach |
|---|---|---|
| 1 | 30 | 0,495 |
| 2 | 30 | 0,543 |
| 3 | 30 | 0,693 |
| 4 | 30 | 0,705 |
La muestra de este estudio se conformó por 20 enfermeros profesionales y 111 auxiliares de enfermería. El 89,0% de la población eran de género femenino y un 11,0% masculino. Aproximadamente un 70,0% de los encuestados se encontraban en los servicios de urgencias, medicina interna, cirugía, obstetricia y enfermería. Vale la pena aclarar que como las profesionales en enfermería rotaban por varios servicios, se decidió organizarlas como una categoría de servicio aparte (ver Tabla 1). El 72,0% tenían vinculación temporal y el resto era personal de planta. Por otro lado, con relación a la antigüedad laboral en la Institución fuente de información, los resultados mostraron 2 funcionarias con menos de 5 años por cada 1 con más de cinco años. Aproximadamente, el 47,0% de la población contaban con más de 32 años de edad (Tabla 3).
| Rangos de edad | % |
|---|---|
| 18-22 años | 16,0 |
| 23-32 años | 37,3 |
| 33-42 años | 21,4 |
| ≥43 | 25,3 |
Más del 50,0% eran solteros, con una razón de 1 soltero por cada enfermero con pareja estable. Se contó con una baja proporción de separados. La mayor parte de la población (83,0%) al momento del estudio habían alcanzado la formación técnica, el 15,0% formación profesional y 2,3% alcanzaron la formación postgrado. La mayoría tenían menos de 5 años de servicio, 2,3% con menos de 5 años en contraste con un participante con 16 y más años de servicio.
Con relación al nivel de conocimiento general en bioseguridad, de 131 personas entrevistas, tan solo 73 (55,7%) dieron respuesta correcta a la pregunta relacionada con el código de colores que define la circulación en las áreas hospitalarias (ver Tabla 4).
| Concepto | Correctos n(%) | Incorrectos n(%) |
|---|---|---|
| La bioseguridad hospitalaria es… | 120 (91,6) | 11 (8,4) |
| El principio de la universalidad se define como… | 125 (95,4) | 6 (4,6) |
| Según el código de colores que define la circulación en las áreas hospitalarias… | 73 (55,7) | 58 (44,3) |
| Todo trabajador* de la salud tiene contacto con pacientes y fluidos corporales… | 100 (76,3) | 31 (23,7) |
| Conjunto de medidas preventivas para el control de riesgos laborales de origen biológico… | 125 (95,4) | 6 (4,6) |
| * Involucra estudiantes y personal en entrenamiento | ||
Por cada persona entrevistada que respondió correctamente la pregunta sobre clasificación de materiales semicríticos, 2,4 personas la clasificaron incorrectamente. En la desinfección y esterilización de materiales semicríticos, los resultados mostraron aproximadamente 12 respuestas correctas por cada respuesta incorrecta.
En lo que respecta a las respuestas dadas al grupo de preguntas que valoraron el conocimiento relacionado con el uso de elementos de protección personal, se obtuvieron 2 respuestas correctas por cada respuesta incorrecta. Las respuestas a las otras preguntas fueron satisfactorias (ver Tabla 5).
| Concepto | Correctos n(%) | Incorrectos n(%) |
|---|---|---|
| Los elementos de protección personal de barrera tiene como finalidad… | 89 (67,9) | 42 (32,1) |
| Una forma de protegerse de la TBC Pulmonar es… | 125 (95,4) | 6 (4,6) |
| Para la seguridad del paciente se atiende con guantes y se usa alcohol glicerinado para desinfectar los guante | 123 (93,9) | 8 (6,1) |
| Una forma de protegerse de la TBC Pulmonar es utilizando cualquier mascarilla, guantes y bata | 111 (84,7) | 20 (15,3) |
En la tabla 6, se puede observar que falta conocimiento en relación a la clasificación de la higiene de manos, donde se obtuvieron menos de una respuesta correcta (0,37) por cada incorrecta. Además, sobresale el resultado relacionado con el uso del alcohol glicerinado en reemplazo del lavado de manos, en donde solo se presentaron 2 respuestas correctas por cada respuesta incorrecta. Por último, en el bloque de preguntas de conocimientos, específicamente aquella relacionada con el manejo de material cortopunzante, 11 de las personas encuestadas dieron respuesta correcta por un encuestado con respuesta incorrecta.
| Concepto | Correctos n(%) | Incorrectos n(%) |
|---|---|---|
| En cuanto a la higiene de manos, esta se clasifica en… | 36 (27,5) | 95 (72,5) |
| La higiene de manos con alcohol glicerinado reemplaza el lavado de manos entre paciente y paciente | 87 (66,4) | 44 (66,6) |
| El lavado de manos se realiza solo luego de la manipulación de equipos | 121 (92,4) | 10 (7,6) |
Al indagar por el conocimiento que tienen el personal sobre el protocolo de reporte de accidente de riesgo biológico se evidenció que más del 70% de la población encuestada lo conoce y la cuarta parte de los funcionarios no lo hace.
En las demás preguntas relacionadas con la actitud frente al riesgo biológico, se pudo observar un resultado satisfactorio (ver Tabla 7).
| Pregunta | Favorables n(%) | Desfavorables n(%) |
|---|---|---|
| Doctrina de comportamiento para lograr actitudes y conductas que disminuyan el riesgo de adquirir infecciones. | 124 (94,7) | 7 (5,3) |
| Principios de bioseguridad: uso de elementos de protección personal de barrera, descarte de elementos cortopunzantes y universalidad. | 121 (92,4) | 10 (7,6) |
| Toma de anticuerpos contra el virus de la hepatitis B y la vacuna como medidas preventivas. | 122 (93,1) | 9 (6,9) |
| Permitido tocar con las manos enguantadas cuerpo y objetos diferentes a los requeridos durante la canalización de vena. | 124 (94,7) | 7 (5,3) |
| Tapar lesiones exudativas o dermatitis antes de hacer contacto con el paciente o con fluidos corporales. | 117 (89,3) | 14 (10,7) |
| En accidente por riesgo biológico por material cortopunzantes diligenciar reporte y luego lavar el área afectada. | 98 (74,8) | 33 (25,2) |
| Según nivel de riesgo de contaminación de las áreas hospitalarias se clasifican: alto riesgo o críticas, mediano riesgo, bajo riesgo y riesgo mínimo. | 18 (13,7) | 113 (86,3) |
Los resultados de la tabla 8 mostraron que para el personal encuestado no es claro el uso de elementos de protección laboral. Más del 80,0% de los encuestados presentaron un nivel de conocimiento entre medio y bajo, lo cual correspondió a una razón 6 de personas con conocimiento medio o bajo por cada persona con conocimiento alto.
| Pregunta | Favorables n(%) | Desfavorables n(%) |
|---|---|---|
| Uso de guantes en procedimientos con elementos biológicos, instrumental o equipo contaminado, evita enfermedades infectocontagiosas. | 113 (86,3) | 18 (13,7) |
| Uso de guantes cuando se suministran medicamentos endovenosos y canalización de vena. | 56 (42,7) | 75 (57,3) |
| En procedimientos con salpicaduras, aerosoles o derrames de fluidos usar batas o delantal plástico. | 78 (59,5) | 53 (40,5) |
| Utilizar mascarilla de alta eficiencia en la atención a pacientes que padecen influenza. | 100 (76,3) | 31 (23,7) |
| Para protección en la atención de pacientes con TBC pulmonar utilizo guantes, bata y mascarilla quirúrgica que proteja de los aerosoles. | 22 (16,8) | 109 (83,2) |
Por otra parte, con relación a la actitud frente a la aplicación de las normas de bioseguridad, se evidenció que más del 60% de los encuestados presentaron una actitud desfavorable o indiferente, lo cual correspondió a una razón 0,63 personas con actitud favorable por cada persona actitud desfavorable o indiferente (ver Figura 1).

FIGURA 1. Distribución de la población objeto de estudio de acuerdo a las actitudes frente a la aplicación de normas de bioseguridad.
Respecto del tipo o modalidad de contratación (planta o temporal), se encontró que de las personas de planta el 18,9% tenían conocimientos bajos mientras que en las temporales el 43,6% se clasificaron en esta categoría, y 37,8% de las enfermeras nombradas tuvieron conocimientos altos, en las temporales esto correspondió al 5,32% con diferencias estadísticamente significativas (Chi2, P <0,05).
En cuanto al tiempo de servicio en la institución y nivel de conocimientos, se observó que en los trabajadores de enfermería con un tiempo menor o igual a 5 años, el 38% tenían conocimientos bajos; en los trabajadores entre 6-15 años, este porcentaje aumentó a 40,9%, mientras en los que tienen más de 16 años de servicio el porcentaje con bajos conocimientos fue menor (23,5%). No se encontraron diferencias significativas a través de la prueba Fisher (P >0,05).
Por otro lado, al cruzar la actitud de los encuestados con el nivel educativo, se observa que las personas con un nivel técnico, el 27,5% tienen actitud desfavorable y 34,8% indiferente, en personas con pregrado el 26,3% igualmente tienen una actitud desfavorable y 31,6% indiferente. En los que tienen postgrado, el porcentaje de personas con esta actitud es mayor (33,3%). A través de la prueba Fisher no se rechaza la hipótesis nula (P >0,05), por lo cual no existe una relación de dependencia estadística entre las dos variables.
Al evaluar la dependencia estadística entre actitud y área en la que laboraban los trabajadores de enfermería al momento de la encuesta a través de una prueba Fisher, se observó un valor P menor al nivel de significancia establecido (0,05), de esta forma, existe una relación de dependencia entre las actitudes y el área. De igual forma se encontró asociación estadísticamente significativas entre las dos variables de interés (conocimientos y actitudes) (Chi2, P <0,05) (ver Tabla 9).
| Conocimiento | Actitud | Total | ||
|---|---|---|---|---|
| Desfavorable | Indiferente | Favorable | ||
| Bajo | 20 | 14 | 14 | 48 |
| % | 41,67 | 29,17 | 29,17 | 100 |
| 55,56 | 31,82 | 27,45 | 36,64 | |
| Medio | 14 | 25 | 25 | 64 |
| % | 21,88 | 39,06 | 39,06 | 100 |
| 38,89 | 56,82 | 49,02 | 48,85 | |
| Alto | 2 | 5 | 12 | 19 |
| % | 10,53 | 26,32 | 63,16 | 100 |
| 5,56 | 11,36 | 23,53 | 14,5 | |
| Total | 36 | 44 | 51 | 131 |
| % | 27,48 | 33,59 | 38,93 | 100 |
| 100 | 100 | 100 | 100 | |
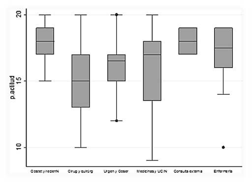
Respecto del análisis del puntaje de actitud por área, se observó que el área de obstetricia y recién nacidos presentó la mayor mediana y una distribución concentrada hacia los mejores puntajes, mientras las áreas de cirugía-quirúrgicas y medicina interna-UCIN presentaron una gran variabilidad en los puntajes de actitud, ya que tomaron valores muy bajos y altos. En la categoría de Enfermeras se observó un valor extremo bajo, ya que el mínimo de la distribución esta alrededor de 13 puntos mientras este se encontró por debajo de 10 (Figura 2). Al analizar las diferencias entre puntajes promedios de actitudes a través de las áreas se obtiene un valor P menor a 0,05 (P =0,000), es decir que existen diferencias significativas en las actitudes entre áreas.

FIGURA 2. Gráfica de cajas y bigotes de la distribución de actitudes por área en los encuestados al momento del estudio.
DISCUSIÓN
En la presente investigación, se observó que el nivel de conocimientos en normas de bioseguridad se encontraba en mayor proporción en un nivel medio y bajo y menos de la tercera parte de los encuestados presentaron nivel de conocimiento alto, obteniéndose resultados similares a los demostrados en el estudio de Salazar (2008), donde se evidenció que el 60% de la población a estudio tenía un nivel moderado en conocimiento en normas de bioseguridad.22
En este estudio se evidenció desconocimiento frente al tipo de información que se debe entender con el código de colores usados en la definición de barreras físicas para delimitar la circulación en las áreas de hospitalización al igual que la clasificación de los materiales semicríticos. En los estudios revisados ninguno evaluó éstos dos puntos. Sin embargo, es importante aclarar la percepción que tienen los trabajadores de enfermería, quienes consideran que es más para la seguridad del paciente que para la seguridad del mismo trabajador. Esto no es así, puesto que el cumplimiento de este tipo de barrera de infraestructura permite además, aislar al personal de enfermería de espacios con alta carga de microorganismos biológicos asociados a la gravedad de los pacientes que se encuentran hospitalizados, mitigando así el nivel de exposición.
Fergunson et al. (2004), indicó que hay una baja adhesión al uso de elementos de protección personal en enfermería, a pesar de que el personal sabe que su uso disminuye el riesgo de exposición a agentes biológicos.23 Así mismo, otros trabajos concuerdan con estos resultados, en los cuales se evidenciaron actitudes con bajo índice de adhesión a los elementos de protección personal durante la práctica de punciones venosas y un descarte inadecuado de elementos cortopunzantes;resultados que contrastaron con los de este estudio. Adicionalmente, la correcta aplicación de la técnica básica de higiene de manos, como una de las medidas más importantes en bioseguridad, no solo para la seguridad del paciente sino para evitar contaminación directa en los trabajadores de enfermería, no fue claro para los encuestados. Hallazgos similares encontraron Lubo et al. (2004),26 quienes en su trabajo sobre conocimientos y aplicación de normas de bioseguridad en profesionales de enfermería demostraron que no hay claridad en los conceptos y Didier et al. (1999), concluyeron que el cumplimiento del correcto lavado de manos en promedio fue del 48%, con mayor incumplimiento en médicos y auxiliares de enfermería.27
Contrastó el hecho de que la población estudiada presentaba un buen conocimiento en el manejo de material cortopunzante que no se evidenció en las actitudes. Un porcentaje significativamente alto indicaron reencapsular las agujas para su descarte y desconocer cuál es el nivel de llenado del recipiente colector de elementos cortopunzante. Éstas prácticas son las que según reportes estadísticos internacionales, responden por la mayor proporción de accidentes laborales con riesgo biológico. Por ejemplo, la Administración de Seguridad y Salud Ocupacional (OSHA), ha indicado una exposición a punciones con agujas del 30% por atención a cada 100 pacientes (OSHA 2012). En términos de costos éstos accidentes laborales por trabajador pueden aumentar a más de 10 veces un salario mínimo mensual legal vigente, lo cual en dólares se traduciría en US 1.8 mil millones/año en la atención a profesionales de la salud por eventos ocasionados por punciones.28
Aunque los resultados de este estudio y otros evidencian que el conocimiento entre el personal de enfermería acerca de las medidas preventivas en la exposición ocupacional a sangre y fluidos corporales es la adecuada y con diferencias estadísticamente significativas entre la modalidad de contratación, la transferencia de éstos conocimientos a la práctica son insuficientes.29 Vale la pena resaltar que los resultados de este estudio mostraron que hay diferencias estadísticamente significativas en el nivel de conocimiento según servicio en el que se encontraba el trabajador de enfermería. Sin embargo, es un personal rotativo, por lo cual todos deben tener el mismo nivel de conocimiento.
La presente investigación demostró que más de la cuarta parte del personal encuestado presentó actitud desfavorable frente al cumplimiento del protocolo para el manejo del accidente biológico, siendo esto la causa de subregistros en la accidentalidad tal como lo evidenció Rodríguez et al. (2008).30 Además, para algunos investigadores, los estudios no miden verdaderamente la percepción de riesgo (actitud) sino el nivel de conocimiento.31-33
Los resultados del estudio mostraron que la actitud difería según nivel de formación alcanzado por los encuestados, estos fueron similares a los de Godoy (2010),34 quien demostró que los profesionales en enfermería tenían un nivel de conocimiento muy bueno y excelente en comparación con las auxiliares de enfermería, que mostraron nivel de conocimiento deficiente. Apoyando el concepto de que a mayor tiempo de formación, mayor el nivel de conocimiento y por ende actitudes positivas, en contraste con el estudio de Oliveria et al. (2009).35
En resumen, tanto este trabajo como en otros, el conocimiento entre enfermeras está entre aceptable y bueno, pero en el nivel técnico o tecnológico es deficiente y este no se refleja en las actitudes principalmente en aquellos que se desempeñan en servicios de alta carga laboral y mayor exposición a través de los pacientes. Sin embargo, hay que tener en cuenta que en la literatura revisada y en el diseño del presente estudio, se evidencian debilidad en el método utilizado para evaluar las actitudes. Los trabajos orientados a este propósito deberían ser de tipo cualitativo e involucrar en el grupo de trabajo a los psicólogos quienes ayudarían a medir mejor los comportamientos y su relación con el nivel de conocimiento. Otra debilidad identificada fue el no contar con el dato de tiempo de experiencia como profesional o auxiliar en enfermería. Esto es relevante dado que el estudio de Asadullah et al. (2013), mostró una asociación entre la experiencia como trabajador de enfermería y el conocimiento en riesgo biológico.36
Los resultados de la vigilancia epidemiológica evidencian que aunque en las guías de gestión del riesgo biológico se habla de controles de ingeniería, uso de elementos de protección personal y controles administrativos, dentro de este último se deben tomar acciones orientadas al diseño de programas educativos, consistentes y dinámicos con el objeto de mejorar el conocimiento y con ello las actitudes y las prácticas de los trabajadores de la salud.
Agradecimientos: a la Doctora Liliana Parra, Directora del postgrado en Salud Ocupacional, Universidad Libre-Seccional Cali, al Doctor Reynaldo Carvajal, asesor estadístico, a la IPS fuente de información y a todas aquellas personas que colaboraron en la realización del trabajo de investigación.
REFERENCIAS