Revista Colombiana de Salud Ocupacional, 3(2), Jun 2013, pp 12-17
Artículo de Investigación Científica o Tecnológica
Ausentismo Laboral por Enfermedad de Origen Infeccioso en una Institución Forense.
WORK ABSENTEEISM BY INFECTION DISEASES IN A FORENSIC INSTITUTION OF CALI, COLOMBIA
María F Escobar-Aramburo,1 Martha L Duarte-Suárez,2 Lourdes L Caicedo-Campo, 3María M García,4 Augusto Valderrama-Aguirre, 5Ángela M Cruz.6
1MD, Universidad del Valle. Cali, Colombia. MSc Salud Ocupacional, Universidad Libre-Seccional Cali. Cali, Colombia. Profesional Universitario Forense. Instituto Nacional de Medicina Legal y Ciencias Forenses. Cali, Colombia. Tel: (57) 3218165514. Email: mafe924@hotmail.com.
2 MD, Universidad Libre-Seccional Barranquilla. Barranquilla, Colombia. MSc Salud Ocupacional, Universidad Libre-Seccional Cali. Cali, Colombia. Profesional Universitario de Bienestar y Salud Ocupacional Gobernación del Cauca. Popayán, Colombia.
3 Fisioterapeuta. Universidad del Cauca. Popayán, Colombia. MSc Salud Ocupacional, Universidad Libre-Seccional Cali. Cali, Colombia. Instructora de salud Sena Centro Comercio y servicios, Regional Cauca.
4 Enf. Universidad del Valle. Cali, Colombia. MSc Educación. Universidad Pontificia Javeriana. Cali, Colombia. Esp Salud Ocupacional, Universidad Libre. Cali, Colombia. Docente postgrado Salud Ocupacional. Universidad Libre, Cali Colombia.
5 Bacteriólogo y Laboratorista Clínico, MSc Ciencias Básicas Médicas, PhDc Ciencias Biomédicas, Universidad del Valle, Cali (Colombia). Docente asociado, director grupo Instituto de Investigaciones Biomédicas, Universidad Libre-Cali, Cali (Colombia).
6 MD. Universidad del Valle. Cali, Colombia. PhD Farmacoepidemiología. Universidad del Valle. Cali, Colombia. Docente Postgrado Salud Ocupacional. Universidad Libre. Cali, Colombia.
Derechos de copia© Universidad Libre – Seccional Cali (Colombia).
RESUMEN
Introducción: El ausentismo laboral puede estar relacionado con causas médicas y estas pueden tener su origen en la ocupación del individuo. El personal que labora en las instituciones forenses se considera a riesgo por su exposición a factores biológico como los agentes infecciosos. El objetivo de este estudio fue caracterizar el ausentismo laboral por enfermedad de origen infeccioso en una Institución Forense de la Ciudad de Cali (Colombia).
Metodología: Estudio descriptivo, de corte transversal realizado una base de datos de 179 incapacidades médicas por enfermedad infecciosa en una institución forense de la ciudad de Cali, Colombia durante los años 2011 y 2012. Se determinaron variables sociodemográficas y laborales como: edad, sexo, escolaridad, oficio, cargo, antigüedad laboral, jornada laboral, tiempo de incapacidad y área laboral. Las incapacidades se clasificaron en menor e igual a 3 días y mayor a 3 días. Las enfermedades infecciosas se clasificaron por sistemas: respiratorias, gastrointestinales, de piel y otras.
Resultados: Más de la mitad (50,6%) de la población estudiada presento ausentismo laboral por enfermedades de origen infeccioso. La mayoría (58%) fueron por enfermedades de origen respiratorio. Las mujeres presentaron mayor ausentismo (56%) y el oficio forense presento la mayor prevalencia de ausentismo (73%). El área de patología presento el mayor ausentismo con un 23%. Se encontró una relación significativa entre la edad y el ausentismo por enfermedad de origen infeccioso.
Conclusiones: El personal de la Institución Forense está altamente afectado por enfermedades infecciosas de tipo respiratorio y gastrointestinal generando alto volumen de incapacidades.
Palabras clave: Ausentismo laboral, enfermedad de origen infeccioso, personal forense.
Línea de investigación: Medicina laboral.
ABSTRACT
Introduction: Work absenteeism is related to medical causes and such diseases might be related to the occupation of the worker. The staff working in forensic institutions is considered at biological risk by exposure to factors such as infectious agents. The aim of this study was to characterize the absenteeism by infectious diseases in a forensic institution of Cali, Colombia.
Methodology: Descriptive, cross-sectional conducted in a human resources database with 179 medical disabilities by infectious disease of a Forensics Institution of Cali, Colombia during years 2011 and 2012. We collected sociodemographic and work related data such as age, sex, educational level, occupation, job position, length of employment, working hours, disability length and workplace. Disabilities were classified into less than 3 days and more than 3 days. Infectious diseases were classified by systems: respiratory, gastrointestinal, skin, and others.
Results: More than half (50,6%) of the studied population had medical absenteeism by infectious diseases. Most of them (58%) related to respiratory diseases. Women were slightly more affected (56%) and the most affected job positions were those related to forensic procedures with a 73% of absenteeism. The workplace with the highest absenteeism was pathology (23%). We found a statistically significant relationship between age and absenteeism due to infectious disease.
Conclusions: The forensic institution staff is highly affected by infectious diseases of respiratory and gastrointestinal origin, so generating a high volume of disabilities.
Keywords: labor absenteeism, infectious disease, forensic staff.
Research line: work medicine.
Aceptado para publicación: Abril de 2013.
INTRODUCCIÓN
La Organización Internacional del Trabajo (OIT), define al ausentismo como: “la no asistencia al trabajo por parte de un empleado que se pensaba que iba a asistir, quedando excluidos los períodos vacacionales y las huelgas; y el ausentismo laboral de causa médica por enfermedades y accidentes es definido, como el período de baja laboral atribuible a una incapacidad del individuo, excepción hecha para la derivada del embarazo normal o prisión”.1 Por su parte, la Organización Mundial de la Salud (OMS), asegura que: “se entiende por Ausentismo la falta de asistencia de los empleados a sus puestos de trabajo por causa directa o indirectamente evitables, tales como de enfermedad, cualquiera que sea su duración y carácter -común, profesional, accidente laboral o no incluidas las visitas médicas, así como las ausencias injustificadas durante toda o parte de la jornada laboral, y los permisos circunstanciales dentro del horario laboral”.2
El ausentismo laboral es reconocido como uno de los factores que más negativamente influyen en el proceso de producción. Desde el punto de vista económico el ausentismo supone varios miles de millones en costos para las empresas y la seguridad social, que encarecen el valor del producto final, supone retrasos en la producción y son un elemento negativo para el clima laboral.1 Otros efectos negativos: elevados costos de operaciones, problemas de calidad, dificultad para alcanzar los objetivos propuestos.3 Este fenómeno se hace manifiesto por factores que pueden ser de índole físico, mental, laboral y social, los cuales en la medida que son acordes al trabajador, provocan un desequilibrio en él, y en su organización.4
La enfermedad común o profesional y los accidentes laborales son las principales causas que mantienen a los trabajadores alejados de su centro de trabajo, es decir, son las principales causas de ausentismo.5 Los cálculos de la OIT para el año 2000 revelan que hay dos millones de fallecimientos anuales relacionados con el trabajo, Además, afirma que, por cada enfermedad mortal relacionada con el trabajo, hay otras 100 enfermedades que provocan ausentismo laboral.6
El ausentismo, en función de sus causas (médicas, convencionales y legales) se clasifica de la siguiente manera:7 1) Absentismo legal o involuntario, que se caracteriza por ser un coste para la empresa y porque el trabajador, en tales circunstancias, sigue percibiendo su remuneración. Es lo que se podría denominar ausentismo retribuido y comprende los siguientes: enfermedad normal, accidente laboral, licencias legales, maternidad y adopción de menores de 5 años, enfermedad profesional y otros;7 2) Ausentismo personal o voluntario, que se caracteriza por ser un coste de oportunidad para la empresa y porque el trabajador, en tales circunstancias, no sigue percibiendo su remuneración. Es lo que se podría denominar absentismo no retribuido y comprende los siguientes: permisos particulares, ausencias no autorizadas y conflictos laborales.7
El ausentismo por causas médicas es un indicador de la salud y de la actitud de los trabajadores. El riesgo biológico es el más frecuente entre los riesgos laborales del personal sanitario. Las estadísticas del Observatorio de Enfermedades Profesionales del 2008 en España, determinan que los trabajadores afectados por enfermedades infecciosas causadas por el trabajo de las personas que se ocupan de la prevención, asistencia médica y actividades en que se ha probado un riesgo de infección son un 1,5% de las enfermedades totales registradas.8
El riesgo biológico se encuentra representado por la posibilidad de contraer una enfermedad infecciosa, dentro del desempeño del trabajo normal de la persona. En términos generales y desde el punto de vista de la Salud Ocupacional, los trabajadores expuestos a riesgo biológico son los que manipulan frecuente o esporádicamente, directa o indirectamente, sangre, fluidos corporales, órganos o tejidos provenientes de personas, o instrumental, desechos, residuos, o ropa contaminada con dichas secreciones; y se consideran expuestos todo el personal sanitario que atienden pacientes, los que trabajan en la manipulación de animales, aquellas personas que trabajan con cadáveres, como son el personal de Medicina Legal o empresas funerarias, personal de servicios generales, personal diferente al sector salud con potencial exposición de riesgo biológico(vigilantes, guardianes, entre otros).9
La enfermedad infecciosa es la manifestación clínica consecuente a una infección provocada por un microorganismo (bacterias, hongos, virus o parásitos).10 Los grupos diagnósticos que causan incapacidad con más frecuencia son las enfermedades respiratorias, musculoesqueléticas, de aparato digestivo e infecciosas.11 Actualmente, las enfermedades infecciosas más importantes y a las que durante su práctica diaria se ven expuestos los profesionales sanitarios con mayor frecuencia, son las de etiología vírica, resaltando entre ellas las que originan los virus de la Hepatitis B (VHB), Hepatitis C (VHC) y virus de la Inmunodeficiencia Humana Adquirida (VIH).14
El personal que labora en las instituciones forenses se considera expuesto a factores de tipo biológico por agentes infecciosos como virus, bacterias, parásitos, entre otros debido a la labor que desempeñan.16 Durante décadas esta actividad ha reflejado serias deficiencias de operatividad por las malas condiciones de trabajo (ambiente, recursos financieros y humanos, etc.) que han incidido en enfermedad de los trabajadores, retrasos, tiempos de autopsia muy prolongados, informes en algunas ocasiones deficientes, que afectan tanto a la población como a las diligencias judiciales que abordan este tipo de casos.16
Los accidentes y enfermedades generadas en los trabajadores por exposición a riesgo biológico afectan a las instituciones forenses debido a que genera aumento del ausentismo laboral lo cual se ve reflejado en las incapacidades médicas, y esta a su vez afecta la atención al usuario, disminuye la productividad y afecta la calidad de vida de las personas por desmotivación. Existen pocos estudios de ausentismo laboral en instituciones forenses.16,17 El objetivo de este estudio fue caracterizar el ausentismo laboral por enfermedad de origen infeccioso en una institución forense durante los años 2011 y 2012.
METODOLOGÍA
Tipo de estudio y población: Estudio de tipo descriptivo, de corte transversal, realizado sobre la base de datos de recursos humanos del personal administrativo y asistencial (170 trabajadores públicos) de una institución forense de la ciudad de Cali. Los datos analizados correspondieron a los comprendidos durante los años 2011 y 2012.
Criterios de inclusión y exclusión: Se incluyeron los registros de hombres y mujeres, servidores públicos en provisionalidad ó de libre nombramiento y remoción que presentaron ausentismo laboral por enfermedad de origen infeccioso. Se excluyeron trabajadores vinculados mediante otro tipo de contrato y los registros de hombres y mujeres que presentaron ausentismo laboral por causas diferentes a las enfermedades de origen infeccioso.
Recolección, manejo y procesamiento de datos: Los datos obtenidos para el presente estudio se obtuvieron de la base de datos y las incapacidades suministrados por el área de recursos humanos de la institución forense. Se recolectaron datos como edad, sexo, escolaridad, cargo, ofició, antigüedad laboral, área laboral, jornada laboral, días de incapacidad, año y mes de ocurrencia, enfermedad de origen infeccioso (respiratorio, gastrointestinal, piel y otras). Se construyó una base de datos en Microsoft®Excel, que posteriormente se importó a SPSS v20.0 (IBM). Las variables medidas en escala nominal se analizaron con base en distribuciones porcentuales (Prevalencia, %).
Consideraciones éticas: El protocolo de este estudio fue revisado y aprobado por el Comité de Investigación Científica del Instituto Nacional de Medicina Legal y Ciencias Forenses y así mismo por el Comité de Evaluación Ética y Científica para la investigación en seres humanos de la Universidad Libre de Cali. La identidad de los participantes del estudio fue protegida por codificación, cumpliendo así con la declaración de Helsinki (1964). Además se tuvieron en cuenta los aspectos éticos legales en la investigación en seres humanos, declarados por la resolución 8430 de 1993 y basados en el artículo 11 debido a que nuestro estudio se clasifica como estudio sin riesgo.
RESULTADOS
De los 170 trabajadores de la institución forense, el 50,6% presentaron un total de 179 incapacidades por enfermedades de origen infeccioso, para un promedio de 2 incapacidades por persona, las cuales representaron un total 458 días de incapacidad. Más del 80% de los casos correspondieron a enfermedades de origen respiratorio o gastrointestinal (ver Tabla 1). En las infecciones respiratorias los diagnósticos más prevalentes fueron la rinofaringitis aguda (60,9%) y faringitis aguda (39,1%). En las enfermedades gastrointestinales el diagnóstico más prevalente fue diarrea y gastroenteritis de presunto origen infeccioso (85, 4%).
TABLA 1 Frecuencia de eventos de origen infeccioso.

Al analizar comparativamente las variables sociodemográficas en el personal forense que no ha presentado ausentismo frente a los ausentes, se observa que: el 30 % de los no ausentes tiene más de 52 años, seguido por el 29% entre 46 a 51 años, mientras que los ausentes tienen distribución homogénea según los grupos de edad, el 23% tienen más de 52 años, el 22% entre 25 y 29 años y el 17% entre 41 a 45 años (P<0.05). Lo cual es estadísticamente significativo (ver Tabla 2). Respecto a la variable sexo las mujeres presentaron mayor ausentismo representado por un 56%, mientras que en el grupo no ausentes los hombres representaron al 56% (P>0.05). En cuanto a escolaridad, tanto en el grupo de no ausentismo como los que sí han tenido ausentismo, la mayor frecuencia se presenta en los profesionales, 49% y 55% respectivamente (P>0.05).
TABLA 2. Distribución de casos que generaron ausentismo según

Respecto al área laboral, para el grupo de no ausentismo el 30% son del área unidad básica, el 15% pertenecen al área administrativa de igual forma al área de clínica, y el 13% a patología, para el grupo con ausentismo el 23% pertenecen a patología, el 21% pertenecen a unidad básica, seguidos por el 15% en clínica y 13% en biología. (p>0.05) (ver Tabla 3).
TABLA 3 Distribución de casos que generaron ausentismo según área laboral dentro de la institución forense.

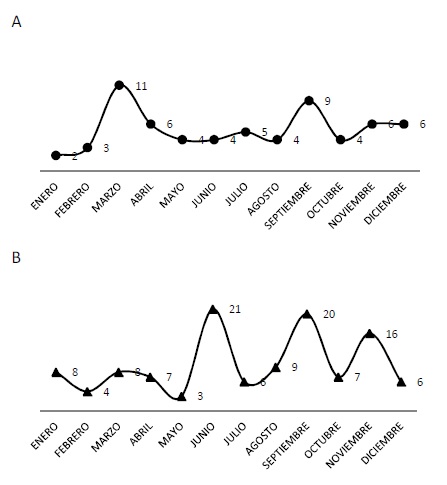
Para el 2011 el ausentismo laboral fue de 64 eventos en total. La frecuencia de eventos mensual es constante, excepto para el mes de marzo, en el que se presentó el mayor número de eventos (ver Figura 1A). En el año 2012 se presentó el mayor número de eventos (n=115) y en la serie mes a mes se observaron picos en los meses de junio, septiembre y noviembre (ver Figura 1B).
FIGURA 1. Frecuencia de eventos de ausentismo laboral mes a mes, durante al año 2011. A) año 2011; B) año 2012.
Al analizar el diagnóstico de enfermedad infecciosa según la edad, se observa que para las infecciones respiratorias, los eventos más prevalentes se presentaron en el grupo de edad entre 30-40 años, seguido por el grupo de edad entre 41-45 años (ver Tabla 4). En el grupo de enfermedades de origen gastrointestinal se observó que el 36% eran mayores de 52 años, seguido por los grupos de edad entre 41-45 años equivalente a un 28%. En infecciones de piel los eventos más prevalentes se presentaron en los grupos de edad entre 25-29 y 46-51 años equivalentes al 31%. Al analizar el diagnostico según sexo, para las infecciones respiratorias y gastrointestinales, la mayor prevalencia de eventos se presentó en mujeres con un 60% y 55% respectivamente. En infecciones de piel los eventos más prevalentes se presentaron en hombres representados por un 69%.
TABLA 4 Distribución de casos de ausentismo según origen de la enfermedad por edad y sexo.

Los eventos según el oficio, muestra que las infecciones de piel ocurren con mayor prevalencia en oficios forenses con un 77% seguido de las infecciones gastrointestinales y respiratorias, con un 60 y 59% respectivamente (ver Figura 2).

FIGURA 2. Frecuencia de casos de ausentismo laboral según origen de la enfermedad, por tipo de ocupación.
Respecto a días de incapacidad, los eventos que provocaron una mayor frecuencia de ausencias de menos de 3 días de incapacidad fueron las infecciones gastrointestinales (98%), seguido de las infecciones respiratorias (91%). Por el contrario, en el grupo de otras infecciones el 44% de los ausentismos fue por más de 3 días.
TABLA 5. Distribución de las incapacidades según origen de la enfermedad infecciosa.


FIGURA 3. Distribución de eventos de ausentismo laboral por enfermedades infecciosas según jornada laboral.
Los eventos según jornada laboral muestra que la prevalencia para infecciones gastrointestinales, respiratorias y otras infecciones se presenta en el turno de 8 am a 5 pm, con un 66%, 56% y 54% respectivamente; mientras que las infecciones de piel se distribuyen equitativamente en horarios de 7am a 1pm con un 54% y de 8am a 5pm con un 46% (P<0.05).
Las enfermedades infecciosas que causaron el mayor promedio de días de ausentismo fueron las infecciones de la piel y otras infecciones (3,8 días en promedio cada una), seguidos por las respiratorias (2,6 días) y las gastrointestinales (2 días).
DISCUSIÓN
El presente estudio reveló que más de la mitad de la población forense evaluada presenta ausentismo por enfermedad de origen infeccioso. Otros autores han descrito que en los servicios de anatomía patológica, la autopsia es uno de los procesos críticos desde el punto de vista de la bioseguridad.16 El examen post-mortem ha sido previamente identificado como una fuente potencial de infecciones en el colectivo de médicos forenses, técnicos de patología forense, antropólogos forenses y otras personas relacionadas directa o indirectamente con el mundo de la muerte. Estas posibles infecciones incluyen, entre otros, el virus de la inmunodeficiencia humana (VIH), el virus de la hepatitis B (VHB), el virus de la hepatitis C (VHC), el virus de la hepatitis D (VHD), virus de la hepatitis G (VHG), TBC, Creutzfeld-Jakob, etc.15 Adicionalmente, el número total de días laborales perdidos (458 días) sugiere que en la institución forense evaluada podría darse un desequilibrio organizacional con un impacto económico desfavorable. Es necesario iniciar planes de intervención en el medio laboral encaminados a disminuir la incidencia de enfermedades infecciosas que provocan el ausentismo. Resulta llamativo que el ausentismo sea más frecuente en mujeres que en hombres. Este hallazgo coincide con lo descrito en un trabajo similar en el Instituto Autónomo Hospital Universitario de los Andes en la ciudad de Mérida (Venezuela).3
Entre los aspectos laborales asociados a una mayor frecuencia, se encontró que los oficios más afectados fueron los forenses (asistentes y profesionales universitarios), quienes están expuestos de manera directa a riesgo biológico por la manipulación cotidiana de cadáveres y manejo de muestras de fluidos corporales. Otros autores han identificado el área asistencial como las más afectada.18 La jornada laboral también parece tener una influencia. En este trabajo encontramos que la jornada diruna (8 am – 5 pm) es en la que mayor número de eventos se presentó. Una explicación puede ser el tiempo de exposición prolongado que tiene los trabajadores al riesgo biológico con respecto a las otras dos jornadas, así como el sobre esfuerzo físico y mental, propio de la labor. De entre las áreas evaluadas las más afectada fue la de patología, debido probablemente a que en dicha área se realizan procesos relacionados con la manipulación de cadáveres, práctica de necropsias y toma de muestras de diferentes fluidos corporales, lo cual conlleva que este personal tenga mayor exposición a riesgo biológico con un consecuente desarrollo de enfermedades infecciosas.16
Respecto a las enfermedades infecciosas, las enfermedades de origen respiratorio fueron las más prevalentes, siendo la faringitis aguda y la rinofaringitis las que presentan mayor número de casos, seguida de las gastrointestinales. Un estudio similar, realizado en el Hospital Toquepala (Perú), describe que la principal causa de ausentismo en el trabajo fue la incapacidad derivada de enfermedades. Las causas médicas de ausentismo laboral estuvieron relacionadas con enfermedad común (82,3%) y entre estas los procesos infecciosos de origen respiratorio y digestivo fueron los más comunes. 12 El estudio de Cuevas y Duarte et al, (2011) sobre ausentismo laboral en un centro médico nivel 1 realizado en la ciudad de Bogotá encontró resultados simlares, siendo las respiratorias y gastrointestinales las que con mayor frecuencia se asocian a ausentismo laboral.18,4
Aunque este estudio corresponde a uno de las primeras caracterizaciones de ausentismo laboral por causa médica en población trabajadora de instituciones forenses, queda aún por establecer una relación causal directa y la diferencia que estas frecuencias puedan tener en la población general. No obstante, el alto número de incapacidades debe alertar los sistemas de vigilancia epidemiológica en la institución evaluada.
Para el caso particular de este estudio, el análisis de los resultados nos permite realizar las siguientes recomendaciones: a) Se sugiere establecer un sistema de vigilancia de ausentismo y una herramienta unificada que permita el registro de datos de ausentismo y la información correspondiente ya que la institución forense cuenta con información insuficiente para realizar un real seguimiento de éste fenómeno y sus causas; b) Se recomienda registrar no solo el ausentismo por causa médica sino también por razones diferentes como calamidades domésticas, accidentes de trabajo, ausencias injustificadas o voluntarias; c) Se sugiere fomentar la ejecución de prácticas saludables en el trabajo y la cultura de auto cuidado así como mejorar los hábitos de higiene y lavado de manos en los servicios sanitarios y ambientes laborales, acatar las normas de bioseguridad, reforzar las capacitaciones en el uso de elementos de protección personal. Así mismo se sugiere realizar exámenes laborales periódicos tal y como lo indica la normatividad colombiana, así como el fiel cumplimiento de los protocolos de vacunación y manejo de residuos.
Agradecimientos: Nuestro principal agradecimiento a Dios por permitirnos alcanzar otro peldaño en nuestras vidas. A nuestros padres, hermanos, esposos y demás familiares por su apoyo incondicional. A las Dras Liliana Parra, María Mercedes y Ángela Cruz quienes contribuyeron para sacar adelante este trabajo. A nuestros Jefes y compañeros de trabajo por su colaboración. Al Instituto Nacional de Medicina Legal y Ciencias Forenses por permitirnos realizar esta investigación.
REFERENCIAS