Evaluación de la capacidad de transporte de caudales y sedimentos del drenaje transversal en una carretera montañosa en los Andes del Ecuador

Evaluation of the Transport Capacity of Flows and Sediments of the Transversal Drainage in a Mountainous Road in the Ecuadorian Andes


Artículos
Recibido: 14/08/2020
Aprobado: 26/10/2020

Autores

Edison Briceño-Briceño

Fernando Oñate-Valdivieso

Arianna Oñate-Paladines

Resumen

El drenaje es fundamental para asegurar la vida útil de las carreteras. A través de las alcantarillas no solo circula agua, sino también el sedimento que es arrastrado por la corriente, sea como arrastre de fondo o en suspensión, por lo que el diseño sostenible de alcantarillas debe permitir el transporte natural de sedimentos asociados con los sistemas fluviales. En el presente artículo se estudian seis alcantarillas ubicadas en una carretera montañosa de los Andes del sur del Ecuador. Se evaluó la capacidad hidráulica de cada una para evacuar un caudal de crecida con 25 años de periodo de retorno empleando un software especializado y se aplicó el criterio del inicio del movimiento de los sedimentos para analizar la capacidad de autolimpieza de la alcantarilla. Luego de la evaluación, se pudo comprobar que solo tres de las alcantarillas tienen la capacidad suficiente para transportar el caudal de evaluación. Todas las alcantarillas cumplen con las condiciones necesarias para evitar depósito de material de arrastre.

Palabras clave: alcantarillas, Andes, drenaje vial, evaluación, sedimentos

Abstract

Drainage is essential to ensure the useful life of roads. Not only water circulates through the sewers, but also sediment that is carried by the flow, either as bottom drag or in suspension. Therefore, the sustainable design of culverts must allow the sediment transport associated with natural river systems. In the present work, 6 culverts located on a mountain road in the Andes of southern Ecuador were studied. The hydraulic capacity of each culvert was evaluated evacuating a peak flow with a 25-year return period using specialized software. Additionally, the criterion of the beginning of the movement of the sediments was applied to analyze the self-cleaning capacity of the culverts. After the evaluation, it was found that only three of the culverts studied had sufficient capacity to transport the evaluated flow and that all culverts had the necessary conditions to avoid the deposition of sediment.

Keywords: the Andes, culverts, evaluation, road drainage, sediments

Introducción

Se define como alcantarilla una estructura que permite que el agua fluya por debajo de una carretera, ferrocarril, sendero u obstrucción similar de un lado a otro, típicamente empotrada, rodeada de tierra [1]. Una alcantarilla puede estar construida con una variedad de materiales, incluido hormigón prefabricado o fundido en el lugar, acero galvanizado, aluminio o plástico. Las alcantarillas se diseñan con distintas formas o tamaños que obedecen a requerimientos de rendimiento hidráulico, limitaciones relativas a la elevación de la superficie del agua aguas arriba de la vía, el perfil de la carretera, la evaluación de daños por inundaciones, los costos de construcción y mantenimiento, su vida útil, etc.

El diseño de alcantarillas ha evolucionado a la par de la capacidad para analizar la hidráulica compleja asociada con el flujo de alcantarillas [2]. Así, se ha pasado del diseño manual al empleo de software especializado, como el HY-8 [3], HEC-RAS [2], Flow 3D [4], entre otros.

Las alcantarillas se evalúan estimando el caudal de máxima crecida que soportaría la estructura según datos de precipitación para un periodo de retorno determinado, para luego comparar dicho caudal con la descarga que la alcantarilla es capaz de soportar, asumiendo una entrada sumergida con control a la entrada [5].

Pero a través de las alcantarillas no solo circula agua, sino también el sedimento que es arrastrado por la corriente, sea como arrastre de fondo o en suspensión, por lo que el diseño sostenible de alcantarillas debe permitir el transporte natural de sedimentos asociados con sistemas fluviales a través de alcantarillas. Cada criterio de diseño busca cumplir el mismo propósito: proveer los requerimientos hidráulicos, el movimiento natural de sedimentos y el paso de organismos acuáticos [2].

El transporte de sedimentos es un proceso geológico involucrado en la evolución morfológica de la superficie de la tierra y puede ser provocado por un fluido en movimiento sobre sedimentos cohesivos o no cohesivos producidos por la meteorización de masas de tierra [6]. Así, en el transporte de sedimentos influyen interacciones complejas entre las características físicas de las partículas y las propiedades del flujo.

Cuando existen depósitos del material arrastrado en el cuerpo de la alcantarilla, la sedimentación puede variar la velocidad del flujo y, a su vez, puede verse influenciada por las condiciones de ancho y profundidad del lecho del canal. La falla de alcantarillas envejecidas, de tamaño insuficiente y mal mantenidas es un problema en diferentes países, por lo que su evaluación y mantenimiento es vital para asegurar la vida útil de las estructuras viales [7].

El bloqueo de las estructuras de drenaje transversal es uno de los mayores peligros que amenazan la estabilidad de las carreteras [4], ya que la acumulación de sedimentos acarrea disminuciones significativas de la capacidad hidráulica de las alcantarillas, que repercuten en el comportamiento hidráulico de esta, al punto que, por ejemplo, un bloqueo del 70 % de la altura de la alcantarilla hace que la profundidad del agua aguas arriba aumente 2,3 veces la altura de la alcantarilla y la velocidad media aumente 3 veces más que cuando la alcantarilla no está obstruida [4].

A pesar de la importancia del transporte de sedimentos a través de alcantarillas transversales en carreteras de montaña, los estudios relativos a este fenómeno no son abundantes en la literatura y menos todavía en la zona andina donde las condiciones de relieve y degradación de las cuencas hidrográficas agudizan aún más esta problemática.

El presente artículo se centra en la evaluación de 6 alcantarillas pertenecientes al drenaje transversal de una carretera de montaña ubicada en los Andes del sur del Ecuador. Se evaluó la capacidad hidráulica de cada alcantarilla para evacuar un caudal de crecida con 25 años de periodo de retorno empleando un software especializado; también se aplicó el criterio del inicio del movimiento de los sedimentos para analizar la capacidad de autolimpieza de la alcantarilla.

El artículo está estructurado de la siguiente manera: inicialmente, se presentó la revisión de literatura que contextualiza el presente trabajo, para luego describir el área de estudio y las características de cada una de las alcantarillas analizadas. Las metodologías lluvia-escorrentía empleadas para determinar el caudal de evaluación, así como las ecuaciones para calcular la producción y transporte de sedimentos se presentan a continuación y se desarrolla el criterio del inicio de movimiento, empleado para evaluar la capacidad de autolimpieza de las alcantarillas. Después se discuten los resultados obtenidos y su análisis permite obtener las conclusiones del presente trabajo.

1. Materiales y métodos

1.1. Área de estudio

El área de estudio corresponde a la vía Loja-Zamora, que se encuentra al sur del Ecuador, entre los 3º55´54.5” y 4º4´1” de latitud sur y los 79º6´31.1” y 78º58´24” de longitud oeste. La vía atraviesa diferentes tipos de morfología: desde una zona de premontaña llega a una zona montañosa de relieve abrupto con elevaciones de hasta 3400 m s. n. m., para posteriormente cambiar a un relieve moderado con elevaciones que alcanzan los 2850 m s. n. m. [8]. La zona en estudio está cubierta de bosque natural, arbustos y pastizal; los suelos son predominantemente de textura franco-arcillo-arenosos, franco-arcillo-limosos y arcillosos. La precipitación promedio anual que existe en la zona de estudio tiene rangos de 1500 mm a 3000 mm, con precipitaciones a lo largo del año, que alcanzan su máximo entre los meses de marzo y junio [9].

En el tramo comprendido entre las abscisas 14+550 y 45+000 se seleccionaron 6 alcantarillas que presentaron diferentes tipologías y características de la cuenca drenante. La ubicación del área de estudio se presenta en la figura 1 e información relevante de las alcantarillas seleccionadas se incluye en la tabla 1.

Figura 1

Localización del área de estudio

Tabla 1

Características de las alcantarillas seleccionadas

1.2. Caudales de aporte

Un modelo de elevación digital ALOS PALSAR con una resolución de 12,5 m, obtenido del Alaska Satellite Facility, delimitó la cuenca drenante de cada alcantarilla y determinó sus principales características morfométricas.

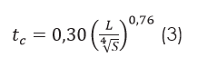
El tiempo de concentración de cada cuenca drenante se estableció fue determinado como el promedio de la aplicación de diferentes ecuaciones reportadas en la literatura. Si bien no existe un criterio único que defina el tiempo de concentración, se optó por aplicar ecuaciones usadas para condiciones similares a las del área de estudio. De este modo, se aplicaron: a) la ecuación de Rowe (Ec. 1), desarrollada para cuencas naturales con áreas hasta de 3000 km2. b) La ecuación propuesta por Kirpich (Ec. 2), desarrollada para cuencas de tamaño medio, pendiente considerable y para suelos dedicados al cultivo. c) La ecuación de Témez (Ec. 3), desarrollada para cuencas de tamaño muy variable, entre 1 y 3000 km2 . d) La ecuación SCS-Ramser (Ec. 4), que se aplica a cuencas pequeñas con diferente cobertura. Las ecuaciones citadas se han aplicado en diferentes estudios [10] y las han recomendado manuales de diseño vial de diferentes países [11], [12]

Ecuación 1

Ecuación 1

Ecuación 2

Ecuación 2

Ecuación 3

Ecuación 3

Ecuación 4

Ecuación 4

Donde L es la longitud del cauce principal en kilómetros, H es la diferencia de cotas entre los puntos extremos del cauce principal en metros, S es la pendiente del cauce principal en metros sobre metros. En el caso de la ecuación de Rowe, L se expresa en metros, y en la ecuación de Témez, S se expresa en porcentajes.

Los caudales de crecida se obtuvieron aplicando el método racional (Ec. 5) [12], y el hidrograma unitario del NRCS (Ec. 6) [13], considerando un periodo de retorno de 25 años, según lo especificado en la normativa del Ministerio de Transporte y Obras Públicas del Ecuador [12].

El método racional se aplica en cuencas pequeñas con superficies menores a 12 km2, aunque la tendencia es aplicarlo a cuencas con superficies entre 1,25 y 2,50 km2 [14]. Las cuencas consideradas en este trabajo se encuentran dentro del rango de aplicación. La ecuación del método racional es:

Ecuación 5

Ecuación 5

Donde Q es el caudal máximo, en metros cúbicos por segundo; I es la intensidad de la precipitación, en milímetros por hora, para una duración igual al tiempo de concentración; A es el área de la cuenca, en kilómetros cuadrados, C es el coeficiente de escorrentía.

El coeficiente C se seleccionó de las tablas propuestas por Chow et al. [15], según las características topográficas, de cobertura y periodo de retorno.

Se definió una intensidad de tormenta (I) para un periodo de retorno de 25 años y una duración igual al tiempo de concentración, la que fue calculada empleando la ecuación para la zona de intensidad 17, propuesta por el Instituto Nacional de Meteorología e Hidrología [16]

Ecuación 6

Ecuación 6

Donde IdTR es la intensidad máxima en 24 h que se extrae de mapas de isolíneas que están en función del periodo de retorno [16], y t es la duración de la tormenta. La ecuación 3 es aplicable para duraciones entre 5 y 44,17 min.

El hidrograma unitario sintético se aplica en cuencas de tamaño medio entre 2,5 y 250 km2 [14]. Las cuencas 3 y 6 se encuentran dentro del rango de aplicación del hidrograma unitario del NRCS. La ecuación del hidrograma unitario del NRCS es:

Ecuación 7

Ecuación 7

Donde Q es el caudal pico del hidrograma de crecida en metros cúbicos por segundom; A es el área de la cuenca, en kilómetros cuadrados, tp es el tiempo pico del hidrograma unitario, en horas, y Pe es la precipitación efectiva, en milímetros.

El tiempo de pico se determina en función del tiempo de concentración (tc) aplicando la ecuación

Ecuación 8

Ecuación 8

La precipitación efectiva se determina en función de la precipitación total y del número de la curva (CN).

Ecuación 9

Ecuación 9

En la que Pe es la precipitación efectiva para un intervalo de tiempo y P es la precipitación total para ese intervalo de tiempo. Ambos valores se expresan en centímetros.

El número de la curva se obtuvo para cada cuenca en función de tipo de suelo y su cobertura, aplicándose las tablas existentes en la literatura [14], [15], [17]. Se consideró una condición de humedad antecedente III, en vista de que es una zona con alta pluviosidad (véase apartado 1.1) y la posibilidad de tener valores de humedad antecedente muy significativos en alta.

La precipitación total (P) se definió en función de la ecuación 3, considerando una duración igual al tiempo de concentración y un periodo de retorno de 25 años. Para ello se empleó la conocida relación:

P=I t

Donde P es la precipitación total, I es la intensidad de la tormenta y t es su duración.

1.3. Producción y transporte de sedimentos

Las alcantarillas se encuentran en zonas de montaña donde existe una considerable producción y transporte de sedimentos que ocupan parte de la sección de la alcantarilla, conjuntamente con el flujo líquido. Además, es común la acumulación de sedimentos por falta de mantenimiento; por estos motivos, el transporte de sedimentos debe considerarse en la evaluación hidráulica de alcantarillas. En el presente estudio se determinó el transporte de sedimento en suspensión y el sedimento de fondo.

El transporte en suspensión se determina mediante la ecuación universal de pérdida de suelos modificada (MUSLE), que para eventos aislados de precipitación tiene la forma:

Ecuación 10

Ecuación 10

Y es la producción de sedimentos por evento, en toneladas; V es el volumen de escurrimiento, en metros cúbicos; Q es el caudal pico generado por el evento en consideración (ecs. 5 y 6), en metros cúbicos por segundo a la menos 1; K, LS, C y P son los factores de la USLE [18].

El factor K se determina mediante la expresión:

Ecuación 11

Ecuación 11

K es el índice de erodabilidad, a es el porcentaje de materia orgánica, b es la clasificación de acuerdo con el tipo y clase de la estructura, c es la clasificación de la permeabilidad. El factor M depende de los porcentajes de limo, arena y arcilla que presente el suelo de la cuenca y se obtienen mediante análisis de laboratorio de muestras tomadas en campo.

El coeficiente LS se determinó mediante la ecuación 6, que se aplica para pendientes superiores al 9 %.

Ecuación 12

Ecuación 12

Donde LS es el factor de pendiente de la MUSLE, Ø es el ángulo de inclinación de la pendiente en grados, µ es la longitud de la pendiente y m es un coeficiente que depende de la inclinación de la pendiente. Tanto el ángulo de inclinación de la pendiente como su longitud se extraen de un modelo de elevación digital.

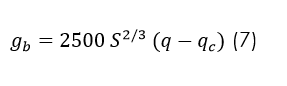
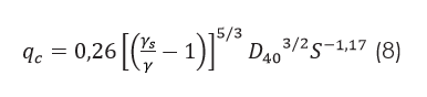
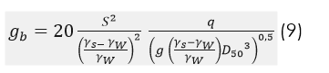
La estimación del transporte de fondo tiene alta incertidumbre y la literatura reporta una amplia variabilidad de resultados según los diferentes métodos que se puedan aplicar [14]. En el presente trabajo se usaron las ecuaciones propuestas por Schoklitsch (Ec. 7) y Mizuyama y Shimohigashi (Ec. 9), recomendadas para ríos en zonas de montaña:

Ecuación 13

Ecuación 13

Donde gb es el caudal sólido por unidad de ancho, en kilogramos por segundo por metro; S es la pendiente del cauce, en metros por metro determinada topográficamente; q es el caudal líquido por unidad de ancho, en metros cúbicos por segundo por metro, y qc se determina con la expresión:

Ecuación 14

Ecuación 14

Donde qc es el caudal crítico por unidad de ancho, en metros cúbicos por segundo por metros; γ_s es la densidad del material; D40 es el diámetro del 40 % de los sedimentos, y S es la pendiente del cauce en m m-1.

Ecuación 15

Ecuación 15

Donde gb es el caudal sólido por unidad de ancho, en kilogramos por metro-segundo; S es la pendiente del cauce, en metros por metros; q es el caudal líquido por unidad de ancho, en metros cúbicos por segundo-metro; g es la aceleración de la gravedad, en metros por segundo; γs es el peso específico del sedimento, en kilogramos por metros cúbicos; γw es el peso específico del agua, en kilogramos por metros cúbicos, y D50 es el diámetro mediano de las partículas en metros.

1.4. Toma de datos en campo

Las características geométricas de cada una de las alcantarillas fue determinada in situ mediante técnicas topográficas. Se tomaron muestras de arrastre del material depositado en las alcantarillas y del cauce aguas arriba de estas, a fin de determinar los parámetros necesarios para la aplicación de las ecuaciones 5 y 6 mediante ensayos de laboratorio que permitieron obtener las curvas granulométricas y las densidades de material de arrastre. Adicionalmente, se tomaron muestras de suelo en las cuencas aportantes de cada una de las alcantarillas para establecer la erodabilidad del suelo (K), requerido para la aplicación de la ecuación 5.

1.5. Evaluación de las alcantarillas

La capacidad hidráulica de las alcantarillas se evaluó aplicando el modelo HY-8 V.7.60 [19], que permite determinar la profundidad del flujo aguas arriba y aguas abajo de la alcantarilla, así como su perfil de flujo en el cuerpo de la alcantarilla para una variedad de configuraciones diferentes. En el presente estudio se consideraron alcantarillas con control a la entrada, y el caudal de demanda se obtuvo según lo descrito en el apartado 1.2.

La capacidad de autolimpieza de las alcantarillas se evaluó aplicando el criterio de inicio del movimiento de los sedimentos, es decir, las partículas son transportadas cuando el esfuerzo cortante ejercido por la corriente de agua (τ_o) supera el esfuerzo cortante crítico (τ_c) que presenta una partícula antes de iniciar su movimiento. El esfuerzo cortante ejercido por la corriente se determina con la ecuación [20]:

Ecuación 16

Ecuación 16

Donde τ_o es el esfuerzo cortante que el flujo ejerce sobre el fondo, en kilogramos-fuerza por metros cuadrado; R es el radio hidráulico de la alcantarilla, y S es su pendiente.

El esfuerzo cortante crítico se calcula con la expresión [20]:

Ecuación 17

Ecuación 17

Donde τ_c es el esfuerzo cortante crítico que resiste una partícula del fondo antes de ser movida y arrastrada por la corriente en kilogramos-fuerza por metros cuadrados, y D50 es el diámetro cincuenta de las partículas.

Si el contarte ejercido por el flujo es mayor que el cortante crítico, la alcantarilla estará en capacidad de evacuar el sedimento.

2. Análisis de resultados

Las principales características de las cuencas de drenaje se presentan en la tabla 2.

Tabla 2

Características de las cuencas drenantes

En la tabla 2 se puede apreciar que las cuencas son pequeñas con superficies que fluctúan entre 0,106 y 3,44 km2, con cauces con longitudes que varían entre 232,03 y 3235,5 m. Las pendientes de los cauces son pronunciadas con valores entre el 22 % y el 52 %, que corresponden a cauces de ríos de montaña. Este hecho lleva a que los tiempos de concentración sean muy cortos, variando entre 0,03 y 0,29 h. Normalmente, en estas condiciones se pueden esperar cuencas con crecidas repentinas. El coeficiente de escorrentía corresponde a zonas boscosas con pendientes superiores al 7 % y para un periodo de retorno de 25 años [15]. Los números de la curva corresponden a zonas en las que se produce poca infiltración, con predominio de la escorrentía superficial. Los valores son altos y van de 79 a 91, que muestran la degradación de la cobertura vegetal, con suelos de poca profundidad que presentan alta impermeabilidad.

El tiempo de concentración determinado con cada una de las metodologías consideradas se presentan en la tabla 3.

Tabla 3

Cálculo del tiempo de concentración

Como puede apreciarse en la tabla 3, las diferentes metodologías presentan valores muy similares, siendo las calculadas mediante el método de Témez algo mayores. Ante la notable similitud, se adoptó el promedio de los valores calculados como el tiempo de concentración de cada cuenca. La tabla 4 presenta los caudales calculados mediante las metodologías empleadas

Tabla 4

Caudales de crecida para un periodo de retorno de 25 años

En la tabla 4 se puede observar que existe una similitud notable entre los caudales calculados mediante el método racional y el HU del NRCS. Las diferencias se atribuyen a las consideraciones propias de cada método, pero que al final llevan a resultados comparables. Dado que la vía se diseñó empleando las normas del Ministerio de Transporte y Obras Públicas, que recomienda el método racional para el diseño de alcantarillas, se adoptaron los valores calculados con esa metodología para la evaluación.

Tabla 5

Transporte de fondo y suspensión

La tabla 5 presenta los valores del transporte de sedimentos de fondo y el transporte de sedimentos en suspensión.

Los valores obtenidos mediante la aplicación del método de Schoklitsch son mayores a los obtenidos mediante la ecuación de Mizuyama y Shimohigashi. En la mayoría de las cuencas los resultados son similares, aunque en las cuencas 3 y 6 la diferencia es considerable. El cálculo del transporte de sedimentos tiene limitaciones propias del empirismo presente en todas las ecuaciones desarrolladas para su estudio [20], por lo que es muy frecuente la dispersión de resultados. En este caso, se aplicaron dos metodologías y siguiendo una práctica generalizada, se considera que los resultados obtenidos establecen un posible rango de variación del trasporte de sedimentos en las alcantarillas estudiadas. Las alcantarillas 3 y 6 presentan mayores posibilidades de obstrucción, por acumulación de sedimentos.

Por otra parte, el transporte es suspensión determinado con la MUSLE varía en un rango de entre 0,18 y 6,87 m3/s, valores que muestran las condiciones de la cuenca en las que se presenta una notable producción de sedimentos. En la tabla 4 se observa mayor producción de sedimentos en las cuencas 3 y 6, con una mayor superficie y peores condiciones de cobertura y orografía.

La figura 2 presenta la evaluación de la alcantarilla 1, realizada con el HY8. Es una alcantarilla metálica circular con un diámetro de 1,2 m y una pendiente del 4 %. Ante el caudal de evaluación de 1,97 m3/s, se producirá un flujo con control de entrada, con un tirante en la entrada de 1,17 m y de 0,59 m a la salida con una velocidad de salida de 3,43 m/s, al no estar revestido el cauce en esta zona, provocará erosión.

Figura 2

Comportamiento de la alcantarilla 1

El conducto de la alcantarilla 1 está en capacidad de evacuar el caudal de evaluación; esto obedece en parte a su ubicación, pues al encontrarse en la parte alta de la zona montañosa por la que atraviesa la carretera Loja-Zamora, el área de aporte es pequeña, resultando adecuado el diámetro de 1,20 m. Por otro lado, la mayor parte del área de aporte posee una cobertura vegetal de arbustos y pastizales, lo cual limita la generación de sedimentos [21].

El comportamiento de la alcantarilla 2 se presenta en la figura 3. Esta es una alcantarilla metálica de 1,20 m de diámetro y una pendiente del 5 %. Como se puede apreciar en la figura 3, ante un caudal de evaluación de 1,98 m3/s se producirá un tirante a la entrada de 1,30 m y a la salida de 0,55 m y una velocidad de salida de 3,75 m/s. Esta velocidad no causará erosión, pues el cauce está revestido. La alcantarilla 2 tiene la capacidad para evacuar la demanda generada en el área de aporte, entre otras razones, porque en su mayoría se encuentra cubierta por bosque, lo que influye en la producción de sedimentos, pues aunque posee un área de aporte similar a la alcantarilla 1, la generación de sedimentos es menor.

Figura 3

Comportamiento de la alcantarilla 2

La figura 4 presenta el comportamiento de la alcantarilla 3. Esta es de hormigón armado, con sección rectangular de 3,00 × 1,80 m y posee una pendiente del 14 %. Sus paredes son de hormigón y su fondo no se encuentra revestido; se aprecian roca y materiales granulares.

Figura 4

Comportamiento de la alcantarilla 3

Ante el caudal de evaluación de 27,67 m3/s se produce un tirante a la entrada de 4,77 m que sobrepasa el nivel de la vía. En estas condiciones, la alcantarilla solo puede transportar un caudal de 27,67 m3/s y el resto escurriría sobre la vía. La velocidad a la salida de la alcantarilla sería de 7,89 m/s, que es erosiva a pesar de que el cauce es rocoso. La alcantarilla 3 no está en capacidad de evacuar la demanda hidrológica generada. El área de aporte posee una pendiente elevada de 0,67 % lo cual, sumado a que la zona adyacente a la carretera se encuentra cubierta únicamente por pastizales, se produce un caudal considerable que no puede ser evacuado por la alcantarilla.

La alcantarilla 4 es metálica, circular con un diámetro de 1,20 m y una pendiente del 5 %. El comportamiento de la alcantarilla lo muestra la figura 5

Figura 5

Comportamiento de la alcantarilla 4

Al considerar el caudal de evaluación de 4,92 m3/s, se aprecia un desbordamiento sobre la carretera, ya que el tirante a la entrada es de 2,37 m. Por la alcantarilla escurren tan solo 4,01 m3/s que alcanzan una velocidad a la salida de la alcantarilla de 4,44 m/s, cuyo poder erosivo es mitigado ya que el canal de salida es revestido. El resto del caudal escurrirá sobre la vía. El diámetro de 1,20 m de la alcantarilla 4, a diferencia de las alcantarillas 1 y 2, resulta insuficiente para evacuar el caudal de evaluación conformado por caudal líquido y sedimentos. Esto debido en parte a que el área de aporte y la pendiente del terreno son mayores que en el caso de las alcantarillas 1 y 2; además, la zona boscosa se encuentra bastante reducida.

La alcantarilla 5 posee una sección rectangular de 2 × 2,15 m y una pendiente del 5,40 %. El comportamiento de la alcantarilla 5 ante el caudal de evaluación se presenta en la figura 6.

Figura 6

Comportamiento de la alcantarilla 5

Ante el caudal de evaluación de 19,35 m3/s se produce un tirante en la entrada de 1,97 m, y a la salida, de 0,82 m, con una velocidad a la salida de 5,73 m/s que puede ser erosiva. La alcantarilla 5 está en capacidad de evacuar el caudal de evaluación. Al ser el área de aporte de 0,63 km2, es pequeña y en su mayoría se encuentra cubierta por bosque; se limita la producción de crecidas y sedimentos.

La alcantarilla 6 es hormigón armado, posee una sección rectangular de 2,80 × 2,40 m y una pendiente del 8 %. El comportamiento de la alcantarilla frente al caudal de evaluación se presenta en la figura 7

Figura 7

Comportamiento de la alcantarilla 6

Como puede apreciarse en la figura 7, ante el caudal de evaluación de 35,57 m3/s, se produce un tirante a la entrada de 3,64 m, lo que produce que tan solo 27,58 m3/s sean evacuados por la alcantarilla y el resto escurra por la superficie de la vía. La velocidad del agua a la salida de la alcantarilla es de 7,16 m/s; esta velocidad es erosiva, ya que el cauce no se encuentra revestido. La alcantarilla 6 no tiene la capacidad suficiente para evacuar el caudal de evaluación. Si bien las condiciones de la cobertura vegetal son mejores que las de las otras cuencas, su tamaño y la pendiente producen crecidas considerables.

En términos generales, las 6 alcantarillas analizadas funcionan con control a la entrada, que ocurre cuando la alcantarilla es capaz de conducir más flujo que el permitido por el orificio de entrada. Todas ellas trabajan sumergidas a la entrada y no sumergidas a la salida; en estas condiciones, funcionan de manera similar a un orificio. De las 6 alcantarillas evaluadas solo tres están en capacidad de evacuar el caudal de evaluación; en las tres restantes se deberían plantear nuevos elementos de drenaje.

En la tabla 6 se presenta el análisis del inicio del movimiento de sedimentos. En todos los casos, el cortante de la corriente es muy superior al cortante crítico del material antes de iniciar el movimiento. Esto significaría que las alcantarillas presentan las condiciones necesarias para evacuar el sedimento. Adicionalmente, según Invías [11], en materiales granulares el cortante de la corriente debería ser superior a 0,3 kgf/m2 para garantizar el autolavado de las alcantarillas. Estos criterios fueron corroborados mediante observaciones de campo, ya que en las alcantarillas se pudo registrar una ligera acumulación de material de arrastre

Tabla 6

Esfuerzo cortante de la corriente (τ_o) y esfuerzo cortante crítico (τ_c

Conclusiones

Se evaluaron 6 alcantarillas en una zona montañosa en los Andes del sur del Ecuador, considerando sus características y un caudal de crecida calculado con base en relaciones lluvia-escorrentía para una tormenta de 25 años de periodo de retorno. La capacidad de autolimpieza de las alcantarillas se evaluó aplicando el criterio de inicio del transporte de sedimentos.

Las alcantarillas evaluadas presentaron dos tipologías: 3 alcantarillas metálicas circulares con un diámetro de 1,20 m y 3 alcantarillas tipo cajón con diversas secciones transversales.

Las cuencas de drenaje presentaron alteración en su cobertura vegetal, porque predominantemente existen pastizales y porciones de bosque nativo. Al encontrarse cerca de la cumbre del sistema montañoso, los suelos eran poco profundos, lo que les da condición de impermeabilidad. La poca cobertura vegetal favorece la producción de sedimentos y las altas pendientes de los cauces favorecen el transporte de sedimentos.

De las 6 alcantarillas evaluadas, solo 3 tuvieron la capacidad hidráulica para evacuar el caudal de evaluación; de estas, 2 fueron circulares y una de cajón (2,0 × 2,15 m). Las restantes no tuvieron capacidad para evacuar el caudal de evaluación y producirían el desbordamiento de una parte significativa del caudal sobre la calzada. Para mitigar los impactos que eventuales crecidas podrían producir, es conveniente rediseñar las alcantarillas que no presentaron la capacidad suficiente para evacuar el caudal de evaluación.

En todos los casos, las alcantarillas analizadas funcionaron con control a la entrada, que ocurre cuando la alcantarilla es capaz de conducir más flujo que el permitido por el orificio de entrada. Todas ellas trabajaron sumergidas a la entrada y no sumergidas a la salida; en estas condiciones, funcionaron de manera similar a un orificio.

En todos los casos, el esfuerzo cortante que ejerce el flujo sobre los sedimentos es muy superior al cortante crítico con el que estos resisten el movimiento. Esta condición permite determinar que las alcantarillas analizadas poseen las condiciones necesarias para evitar la acumulación de material de arrastre.


Referencias

  • P. A. Creamer, “Culvert hydraulics: basic principle”, Professional Development Series CONTECH Bridge Solutions Inc., Ohio, 2007.
  • K. J. Rowley, R. Hotchkis, “Sediment transport conditions near culverts”, en World Environmental and Water Resources Congress, Portland, Oregon, Estados Unidos, 1-4 de junio de 2014. https://doi.org/10.1061/9780784413548.141
  • B. J. Rowley, E. A. Thiele, R. Hotchkiss, E. J. Nelson, “Numerical modeling of culvert hydraulics: modernization of existing HY8 software”, en World Environmental and Water Resources Congress, Omaha, Nebraska, Estados Unidos, 21 al 25 de mayo de 2006. https://doi.org/10.1061/40856(200)51
  • N. Taha, M. M. El-Feky, A. Abdelhameed El-Saiad e I. Fathy, “Numerical investigation of scour characteristics downstream of blocked culverts”, Alex. Eng. J., vol. 59, n.º 5, pp. 3503-3513, 2020, https://doi.org/10.1016/j.aej.2020.05.032
  • A. M. Truhlar, R. Marjerison, D. F. Gold y W. M. Todd, “Rapid remote assessment of culvert flooding risk”, J. Sustain. Water Built Environ., vol. 6, n.º 2, p. 06020001, 2020, https://doi.org/10.1061/JSWBAY.0000900
  • S. Rodrigues, N. Claude, F. Moatar, “Sediment transport”. En Encyclopedia of environmetrics, 2.ª ed. Filadelfia: John Wiley and Sons, 2011. https://doi.org/10.1002/9780470057339.vas010.pub2
  • R. T. Kilgore, J. L. Morris, J. D. Schall, P. L. Thompson y S. M. Zerges, Hydraulic Design of Highway Culverts, 3.ª ed. Washington, D.C.: Federal Highway Administration (FHWA), 2012.
  • C. Correa, “Análisis de la susceptibilidad a procesos de remoción en masa en estructuras lineales mediante la utilización de sistemas de información geográfica” M. S. tesis, Universidad San Francisco de Quito, Ecuador, 2013 [en línea]. Disponible: http://repositorio.usfq.edu.ec/handle/23000/2821
  • F. Oñate-Valdivieso, V. Uchiari y A. Oñate-Paladines, “Large-scale climate variability patterns and drought: a case of study in South – America”. Water Resour. Manag., n.º 34, pp. 2061–2079, 2020, https://doi.org/10.1007/s11269-020-02549-w
  • J. J. Vélez Upegui y A. Botero Gutiérrez, “Estimación del tiempo de concentración y tiempo de rezago en la cuenca experimental urbana de la quebrada San Luis, Manizales”, DYNA, vol. 78, n.º 165, pp. 58-71, 2011 [en línea]. Disponible: http://www.bdigital.unal.edu.co/27751/2/25640-159419-1-PB.htm
  • Invías,”Drenaje superficial” In Manual de drenaje para carreteras. Instituto Nacional de Vías. Bogotá, Colombia, 2009, ch. 4, sec. 4.6, pp. 4-75 – 4-80.
  • Ministerio de Transporte Y Obras Públicas (MTOP), “Norma ecuatoriana vial NEVI - 12”, , Quito, Ecuador, 2013.
  • Natural Resources Conservation Service (NRCS), “Chapter 16: Hydrographs. Part 630 Hydrology, National Engineering Handbook”, United states Department of Agriculture Natural Resources Conservation Service, 2007.
  • V. M. Ponce, Engineering Hydrology, Principles and Practices. San Diego: San Diego State University, California, 2014 [en línea]. Disponible: http://ponce.sdsu.edu/enghydro/index.html
  • V. T. Chow, D. Maidment y L. Mays, Hidrología aplicada. Bogotá: McGraw-Hill, 1994.
  • Instituto Nacional de Meteorología e Hidrología (INAMHI), Determinación de ecuaciones para el cálculo de intensidades máximas de precipitación. Quito, Ecuador, 2019 [en línea]. Disponible: http://www.serviciometeorologico.gob.ec/Publicaciones/Hidrologia/ESTUDIO_DE_INTENSIDADES_V_FINAL.pdf
  • F. J. Aparicio Mijares, Fundamentos de hidrología de superficie. Ciudad de México: Limusa, 2009.
  • S. M. Bascuñán Chaparro, “Relación entre la erosión producida por un flujo superficial en suelos finos y algunas propiedades de estos”, tesis de pregrado, Departamento de Ingeniería Civil, Universidad de Chile, 2010 [en línea]. Disponible: http://repositorio.uchile.cl/handle/2250/103881
  • Federal Highway Administration (FHWA), HY-8 User Manual. Washington, D.C., 2019.
  • J. A. Maza y M. García. “Transporte de sedimentos”. En Manual de ingeniería de ríos. Ciudad de México: Universidad Nacional Autónoma de México-Instituto de Ingeniería, 1996.
  • M. M. Saldaña Díaz, A. Nemmaoui, Y. Cantón Castilla, M. A. Aguilar Torres y F. J. Aguilar Torrres, “Estimación de la erosión potencial en la cuenca del río Moulouya aguas arriba de la presa Mohamed V”, Mapping, n.º 168, pp. 4–16, 2014.