Modelo multiobjetivo para la selección de estrategias óptimas de mantenimiento en sistemas multicomponentes: una aplicación en líneas de transmisión de energía eléctrica

Multi-Objective Model for the Selection of Maintenance strategies in Multi-Component Systems: An Application in Electric Power Transmission Lines


Artículos
Recibido: 05/11/2020
Aprobado: 15/12/2020

Autores

José A. Moronta R.

Claudio M. Rocco S.

Resumen

En este artículo se formula un modelo multiobjetivo para seleccionar estrategias de mantenimiento óptimas en sistemas formados por varios elementos interconectados. Las aquí planteadas corresponden al conjunto de acciones eficientes, centradas en maximizar la confiabilidad del sistema y, a su vez, minimizar los costos asociados. La optimización se realiza mediante el uso de algoritmos evolutivos tipo NSGA-II. Para evaluar la confiabilidad del sistema se utiliza un procedimiento basado en simulación de Monte Carlo, que permite analizar sistemas con distintas funciones de desempeño y para configuraciones de componentes diferentes a las clásicas (serie, paralelo, k-out-of-N). La propuesta se analiza para los componentes de un sistema eléctrico de potencia, específicamente las cadenas de aisladores de las líneas de transmisión, y varios escenarios de cálculo. Las estrategias seleccionadas por el modelo priorizan los elementos más importantes, según costo o mantenimiento, y conforman un frente de Pareto aproximado donde el decisor puede seleccionar la más adecuada, de acuerdo con sus intereses.

Palabras clave: cadenas de aisladores, confiabilidad de sistemas, optimización multiobjetivo, plan de mantenimiento, sistemas multicomponentes

Abstract

A multi-objective model is proposed for defining optimal maintenance strategies, in systems composed of several interconnected elements. The optimal maintenance strategies derived correspond to a set of efficient actions, focused on maximizing the reliability of the system, and minimizing the associated costs. Optimization is carried out by using evolutionary algorithms type NSGA-II. For the evaluation of the system reliability, a procedure based on Monte Carlo simulation is used, which allows analyzing systems with different performance functions and for component configurations different from the classical ones (series, parallel, k-out-of-N). The proposal is applied to assess electrical power system components, specifically the insulator chains of the transmission lines. Several scenarios illustrate the proposed model. The strategies selected by the model prioritize the most important elements based on costs and/or maintenance. These strategies make up an approximate Pareto front, in which the decision-maker can choose the most suitable strategy according to their interests.

Keywords: insulator chains, maintenance actions, multi-component systems, multi-objective optimization, systems reliability

Introducción

Los planes de mantenimiento preventivo (PM) son el conjunto de intervenciones, previamente programadas, que se realizan en un equipo o sistema con la finalidad de mantener su funcionamiento sobre un mínimo requerido. Estas acciones pueden centrarse en medidas o criterios para cuantificar su efecto, por ejemplo, en la disponibilidad del sistema [1]-[5], en la confiabilidad del sistema [6]-[12], en los costos de operación o mantenimiento del sistema [5], [6], [10], [13]-[19], así como en la seguridad, el riesgo, el stock de repuestos [20], entre otros. Estos criterios se han analizado en la literatura de forma simultánea.

A partir de los criterios seleccionados para realizar el PM, se derivan las variables de decisión requeridas; por ejemplo: selección del tipo de acciones de mantenimiento [1], [6], [8], [9], [14], [15], [17], [18]; selección de frecuencia de acciones de mantenimiento [1]-[3], [6], [8], [9], [13], [16]-[19], [21], [22]. Otras variables de decisión, específicas al sistema en mantenimiento, pueden encontrarse en la revisión de [20].

Diversos autores y con diversos enfoques han planteado el PM. En [23], los autores clasificaron trabajos relacionados con el PM en los últimos años. De acuerdo con [23], el PM, según el sistema donde se aplique, puede dividirse en PM para sistemas de un solo componente o sistemas multicomponentes. Estos últimos, intrínsecamente, poseen dependencias que se han clasificado en económica, esto es, cuando los costos de mantenimiento se reducen si es a múltiples componentes (o elementos) en un mismo tiempo; en estocástica, cuando el deterioro o el tiempo de falla de los elementos pueden ser modelados a través de variables aleatorias, y en estructural, cuando el desempeño del sistema depende de la configuración de sus elementos y no de los desempeños individuales de los elementos, según [24].

Los enfoques de PM también los clasificó [23], de acuerdo con el proceso de deterioro de los elementos: dos estados (funcional y falla), tres estados, estado discreto y estado continuo. Por otra parte, según las alternativas de selección de las acciones de mantenimiento, se clasifican en preventivas o correctivas. Así mismo, según su impacto en el elemento, se subdividen en remplazo o reparación, y estas son ejecutadas en tiempos discretos de inspección o en cualquier instante mediante una inspección continua del sistema.

Los trabajos de [25]-[27] utilizan modelos de Markov en tiempo discreto para simular el deterioro de los componentes: los sistemas considerados son del tipo serie-paralelo y los criterios de selección son disponibilidad y costos del PM. En [28] se realizan inspecciones de forma continua, mediante un modelo de Markov en tiempo continuo, con la finalidad de determinar el PM óptimo en un sistema serie-paralelo. En [29] utilizan sistemas tipo k-out-of-N, y consideran costos de penalización por fallas y costos por las acciones de mantenimiento. En [30]-[32] se utilizan sistemas en serie, y para identificar el óptimo PM emplean algoritmos genéticos o procesos de Markov.

En [33] y [34], para un proceso de deterioro de tiempo continuo, realizan procesos de reparación a los elementos para un límite predeterminado: en [33] sustituyen en caso de falla, y en [34], los elementos en un tiempo límite. En [35] y [36] desarrollaron una heurística a partir de acciones de mantenimiento de acuerdo con inspecciones periódicas, pero en [36] consideran la dependencia económica para el PM.

En [37] consideran un modelo con dependencia económica y estructural, y a partir de inspecciones periódicas y un conjunto de reglas de decisión, determinan los componentes a los que se les realiza el mantenimiento.

En [1], [6] y [38], los autores analizan acciones de mantenimiento que reducen la degradación de los elementos a un factor fijo. El mantenimiento se considera para cada elemento. Emplean heurísticas particulares para optimizar el PM, a la vez que consideran criterios como costos, disponibilidad o confiabilidad. Los sistemas contemplados son sistemas serie, paralelo o tipo k-out-of-N.

En este trabajo se plantea ¿cómo desarrollar una estrategia de selección de PM óptima para un sistema multicomponentes con dependencia estructural?, en el cual no puede determinarse su confiabilidad de forma analítica. A diferencia de los trabajos revisados en la literatura, en los que la función de confiabilidad se expresa de forma analítica, en este trabajo se estima la confiabilidad del sistema a partir de una simulación mediante el método de Monte Carlo. La estrategia propuesta se centra en un modelo de optimización multiobjetivo, en el que se busca maximizar la confiabilidad del sistema en un intervalo de tiempo definido y minimizar el costo del PM, considerando como variables de decisión el tipo de mantenimiento y la frecuencia de la acción de mantenimiento en cada componente. Como se detalla en la sección 1, la solución del problema requiere evaluar un número de posibles configuraciones que puede ser prohibitiva desde el punto de vista computacional. Por esto, se propone un esquema heurístico de búsqueda de soluciones, basado en estrategias evolutivas, que proporcionan un conjunto aproximado de Pareto.

El modelo propuesto se ilustra sobre un sistema eléctrico de potencia, considerando las cadenas de aisladores de las torres de transmisión como los elementos a los que se le realizará el mantenimiento.

Las secciones restantes de este trabajo se organizan como siguen. La sección 1 presenta los efectos y los costos de las acciones de mantenimiento del PM, el procedimiento para evaluar la confiabilidad y el planteamiento del modelo para seleccionar las estrategias de los PM óptimos. La sección 2 presenta un ejemplo ilustrativo del modelo en un sistema eléctrico de potencia, y la sección 3, las conclusiones del trabajo y posibles futuras investigaciones.

1. Selección de estrategias de mantenimiento óptimas

1.1. Acciones de mantenimiento preventivo

Las acciones de PM están orientadas a mejorar el desempeño de los elementos y del sistema como un todo. En el PM, todos los componentes se inspeccionan en n intervalos de igual duración, y para cada inspección hay algún tipo acción de mantenimiento, considerando el deterioro del elemento y su grado de importancia en el desempeño del sistema. Cada acción de mantenimiento tiene sus requisitos de costos y recursos, y su efecto sobre el desempeño del elemento. En este trabajo, se considera que las acciones mejoran la confiabilidad de los elementos y pueden ser, de acuerdo con el modelo de [1], [6], de tres tipos:

• Tipo 1: este reduce la velocidad de degradación del componente y hace hincapié en mantener el equipo operando. Por lo general, está referido a acciones de mantenimiento simples, como lubricación, ajuste, limpieza y ajuste de aditivos (aceite, agua, otros). La reducción de la degradación del elemento se modela según un factor de mejora del mantenimiento (0 < m1 ≤ 1).

• Tipo 2: esta acción se emplea principalmente para remplazar algunas piezas simples. Ejemplos de este tipo de mantenimiento pueden ser las reparaciones, el desmontaje y el montaje de partes; los tratamientos de las partes móviles, y las calibraciones. En general, esta acción mejora la confiabilidad del elemento, pero no a un estado completamente como nuevo. Se puede cuantificar mediante el factor de mejora m2 (0 < m2 ≤ 1), que representa el nivel al que es restaurado el componente.

• Tipo 3: en este caso se restaura el componente a su condición original (como nuevo) y es un caso particular de los tipos de mantenimientos anteriores en los que m1 = m2 = 1. Por lo general, implica el remplazo de componentes principales con nuevas piezas. Normalmente, se realiza en los componentes clave, para evitar la falla del sistema.

De acuerdo con [6], para un componente dado con tiempo de falla modelado por una distribución de Weibull, las expresiones de la confiabilidad, considerando las políticas de mantenimiento, se pueden determinar como:

Ecuación 1

Ecuación 1

Ecuación 2

Ecuación 2

Donde:

β, σ son factores de forma y escala de la distribución Weibull.

tp es el intervalo de tiempo entre inspecciones de mantenimiento.

R_(i,0,n) es la confiabilidad del elemento i al inicio del periodo n de inspección.

R_(i,f,n-1) es la confiabilidad del elemento i al final del periodo n − 1 de inspección.

R_(i,n) (t) es la confiabilidad instantánea del elemento i en el periodo n de inspección.

m1 y m2 son factores de mejora debido a los tipos de mantenimiento seleccionados.

La ec. 1 implica que la confiabilidad del componente al comienzo del periodo n es igual a la confiabilidad al final del periodo n − 1 más una contribución como resultado de la acción de mantenimiento realizada en el periodo actual. La confiabilidad del componente i al comienzo del periodo n se sustituye en la ec. 2, y se obtiene la función de confiabilidad del componente i, que se debe considerar durante el periodo n [6].

1.2. Costos de mantenimiento y costo de falla

Los tipos de acciones de mantenimiento tienen efectos diferentes en la confiabilidad del elemento, pero cada uno de ellos implica costos y recursos distintos. En general, mientras aumenta la confiabilidad del elemento, mayor es el costo de la acción. El costo total C_M debido a las acciones del mantenimiento, en el PM planteado se calculan como:

Ecuación 3

Ecuación 3

Donde:

X_in: vector de decisión, 1 si se realiza mantenimiento tipo 1 al componente i en la inspección n; 0 en otro caso.

Y_in: vector de decisión, 1 si se realiza mantenimiento tipo 2 al componente i en la inspección n; 0 en otro caso.

Z_in: vector de decisión, 1 si se realiza mantenimiento tipo 3 al componente i en la inspección n; 0 en otro caso.

C_i^T1: costo de mantenimiento tipo 1 del componente i.

C_i^T2: costo de mantenimiento tipo 2 del componente i.

C_i^T3: costo de mantenimiento tipo 3 del componente i.

N: número de inspecciones durante el horizonte de planificación T.

I: número total de elementos del sistema.

Adicionalmente, se considera el costo asociado a la falla del sistema. A lo largo del horizonte de planificación T, la probabilidad de falla del sistema puede definirse como 1 − Rsist, donde Rsist es la confiabilidad del sistema. De forma similar a lo planteado en [6], los costos asociados de falla del sistema son:

Ecuación 4

Ecuación 4

Donde:

C^fsist: costo fijo de falla del sistema.

R_t^sist: confiabilidad del sistema en el instante t.

R_(t-1)^sist: confiabilidad del sistema en el instante t − 1.

1.3. Evaluación de confiabilidad mediante la simulación de Monte Carlo

En los trabajos revisados, la estructura de los sistemas considerados son sistemas serie, sistemas paralelo, sistemas paralelo-serie y sistemas tipo k-out-of-N. En estos es posible obtener de forma analítica la función de confiabilidad del sistema. Entonces el cálculo de la confiabilidad y su optimización consiste en evaluar directamente esta función explícita de la confiabilidad del sistema. Por lo general, se supone que el criterio de operación es el de continuidad, existencia de al menos un camino entre un nodo fuente y un nodo terminal.

Sin embargo, hay sistemas que no pueden clasificarse en las categorías mencionadas, es decir, sistemas a los cuales no puede asociársele de forma explícita una función de confiabilidad y, por tanto, debe ser estimada. Un enfoque generalmente utilizado para esta estimación consiste en usar la simulación de Monte Carlo (SMC): se evalúa si el sistema funciona o no, a partir de la generación aleatoria de estados de operación o falla de cada elemento. Cada estado se determina según la probabilidad de falla asociada a cada elemento y para cada tiempo. El proceso cuantifica el número de veces que el sistema funciona de forma correcta y estima la confiabilidad del sistema como la relación del número de veces que el sistema funciona sobre el número de experimentos totales de la simulación. Este proceso se repite para cada valor de tiempo, en cada periodo [39].

Para aplicar este enfoque, que permite también estimar la confiabilidad de sistemas con configuración tipo: serie, paralelo o serie-paralelo, como las mencionadas en [25]-[33], solo es necesario definir una estructura que permita la evaluación funcional del sistema.

En este trabajo se supone que el criterio de desempeño del sistema, esto es, la función que define si el sistema opera o no, corresponde a la carga que el sistema puede suministrar, en cada instante.

Para evaluar la condición de operación o falla del sistema, se emplea el flujo máximo del sistema [40], que consiste en evaluar el máximo flujo que puede ser transportado de un nodo fuente s a un nodo terminal t, considerando las capacidades de transmisión que cada elemento posee. Si el flujo máximo es mayor o igual a un flujo predeterminado, se considera que el sistema opera de forma correcta; si el flujo es menor, se considera el sistema fallado.

En el caso de sistemas con múltiples fuentes o múltiples terminales, se extiende el método del flujo máximo de acuerdo con lo descrito en [41]:

• Cada nodo fuente tiene una capacidad de suministro y cada nodo terminal tiene una carga.

• Todos los nodos fuente están conectados a un supernodo fuente s. La capacidad del enlace entre el nodo s y cualquier nodo de capacidad gi corresponde a la capacidad neta del nodo gi.

• Todos los nodos terminales están conectados al supernodo terminal t. La capacidad entre un nodo terminal ui y t corresponde a la carga neta del nodo ui.

• La carga total que puede suministrar la red es equivalente al flujo máximo entre s y t.

La confiabilidad del sistema se evalúa mediante el procedimiento para evaluación de confiabilidad aproximada mediante SMC, que se muestra a continuación, donde G(V,E,K) es el grafo con el cual se modela el sistema para la evaluación del flujo máximo, con V = conjunto de nodos del sistema (puntos de conexión de los elementos), E =  conjunto de elementos (que conecta desde un Vi hasta Vj) y K = conjunto de capacidades de flujo de cada uno de los elementos Ei. Ri es el valor de la confiabilidad del elemento i, en un determinado tiempo; Nsimul es el número de muestras que se van a considerar, y Flujo_consigna es el valor mínimo de flujo transportado para considerar operativo el sistema.

Procedimiento para evaluación de confiabilidad aproximada mediante SMC

Inputs: G(V,E,K), Ri, Nsimul, Flujo_consigna, s, t.

Outputs: Rsist confiabilidad aproximada del sistema.

Inicialice Cont = 0.

Genere un vector de probabilidades aleatorio Wi con distribución U(0,1) de longitud |E|.

Hacer K_temp^i = Ki #K_temp^i capacidades temporales de cada enlace i.

Si Wi > Ri, K_temp^i = 0.

Evalúe el flujo máximo entre los supernodos s y t, a partir de G(V,E,Ktemp). Si flujo máximo ≥ Flujo_consigna, entonces Cont = Cont + 1

Repetir 2-5 Nsimul veces.

Determine la confiabilidad del sistema: Rsist = Cont/Nsimul.

Fin del procedimiento

1.4. Formulación del modelo de optimización

De acuerdo con las definiciones anteriores, el modelo que se va a optimizar está compuesto por:

Ecuación 5

Ecuación 5

El modelo plantea la optimización de dos objetivos contrapuestos. El primero corresponde a la minimización del costo asociado al PM: CT está compuesto por la suma de los costos CM (ec. 3) y CF (ec. 4).

El segundo objetivo corresponde a la maximización del valor mínimo de la confiabilidad del sistema en el horizonte planteado para el PM. Para ello se evalúa la confiabilidad del sistema a partir del procedimiento para evaluación de confiabilidad aproximada mediante SMC, considerando las estrategias de mantenimiento para cada elemento que conforman el PM.

El problema planteado es básicamente un problema combinatorio en el que, para cada periodo, es necesario evaluar 4^I combinaciones de posibles esquemas de mantenimiento. Dependiendo del valor de I (número de componentes en el sistema), el número de evaluaciones puede ser, computacionalmente hablando, prohibitivo. Es importante recordar que cada evaluación de una posible configuración requiere a su vez la estimación de la confiabilidad.

Por esto, se propone un esquema heurístico de búsqueda de soluciones, basado en estrategias evolutivas, que proporcionan una aproximación al conjunto de Pareto. Se ha seleccionado el algoritmo NSGA-II [42] como heurística de búsqueda, ya que es un algoritmo que se adapta a problemas que no tienen una función objetivo explícita (por ejemplo, los resultados de las SMC) [41]. El procedimiento de NSGA-II no garantiza encontrar una solución óptima al problema (como ninguna heurística), pero comparaciones realizadas en sistemas de prueba con funciones analíticas han demostrado que este tipo de algoritmo encuentra soluciones muy aproximadas a la exacta [42], [43], que aproximan adecuadamente el frente de Pareto óptimo. La implementación usada en este trabajo (paquete mco del software libre R) requiere la definición de solo dos parámetros, referidos al número de generaciones (gen) y al tamaño de la población (pop). El frente de Pareto es aproximado con (gen + 1) * (pop + 1) evaluaciones del modelo biobjetivo.

El algoritmo NSGA-II ha sido utilizado en algunos trabajos relacionados con el PM [44]-[47], de diversas áreas, como sistemas eléctricos de potencia, producción de partes y rehabilitación de carreteras. NSGA-II es un algoritmo elitista, de manera que en cada nueva generación se conservan los mejores individuos encontrados (esto se logra combinando en cada generación la población de padres con la población de hijo, de forma que compitan entre sí para pasar a la siguiente generación). El NSGA-II emplea una jerarquización de Pareto implementada eficientemente e incluye un mecanismo para la preservación de diversidad [48].

El lector interesado puede profundizar en el algoritmo seleccionado revisando los siguientes trabajos [42], [49].

2. Ejemplo ilustrativo del modelo

El PM planteado en las secciones anteriores se evaluó en un sistema que representa la topología de un sistema eléctrico [50]. El sistema está compuesto por dos fuentes de generación, dos barras de carga y diez líneas de transmisión, como puede apreciarse en la figura 1. No puede clasificarse como un sistema serie-paralelo o tipo k-out-of-N; por esto, no se puede obtener una expresión explícita para evaluar la confiabilidad del sistema.

Figura 1

Sistema eléctrico de potencia. Los valores entre paréntesis representan la capacidad de las líneas de transmisión. Fuente: tomado de [50]

En condiciones normales de operación Figura 1, con todos los elementos operando, y para las capacidades de los elementos dadas (valores mostrados en la figura 1), el flujo máximo en este sistema es de 25 unidades.

Los elementos sujetos a mantenimiento son las cadenas de aisladores. Estos son los encargados de separar eléctricamente los conductores de la estructura de soporte de la línea (Figura 2). Al ser equipos de uso exterior, se encuentran expuestos a diversas acciones ambientales y externas, que van degradando su vida útil. Cuando se realiza un mantenimiento, por lo general, se debe desenergizar la línea en sus extremos.

Figura 2

Cadena de aisladores en estructura de soporte de un sistema eléctrico de potencia

Uno de los problemas más importantes para la transmisión de energía son las descargas eléctricas observadas en aisladores utilizados en la transmisión de energía eléctrica en alta tensión, ya que originan fallas que ponen fuera de servicio la línea. Por lo general, estas descargas se originan por la presencia de agentes contaminantes [51]. En el trabajo de [52] se presenta una revisión detallada de los agentes contaminantes de aisladores, así como posibles acciones para mitigar estos efectos, entre otros, el lavado de los aisladores. Otros problemas que se presentan en los aisladores cerámicos son rotura o daño parcial, debido a pérdidas de sus propiedades aislantes, descargas atmosféricas o vandalismo (disparos de armas) [53], [54].

Adicionalmente, después de un periodo de funcionamiento, pueden volverse defectuosos con grietas o contaminación, y pierden su acción de aislamiento. Así, exhiben baja resistencia, ruptura a voltaje más bajo y grietas visibles [55].

Las acciones de mantenimiento en los aisladores cerámicos, de acuerdo con la clasificación de los tipos de mantenimiento descritos, se pueden agrupar en:

• Tipo 1: referido al lavado (con agua o aire a presión) de los aisladores, considerando la línea desenergizada [56], [57].

• Tipo 2: referido al cambio de algunos elementos de la cadena de aisladores. Como puede verse en la figura 2, las cadenas de aisladores están formadas por varios aisladores. Por esto, cuando uno o varios de ellos se ven afectados, pueden ser sustituidos, sin necesidad de cambiar la cadena completa [58].

• Tipo 3: en este caso se considera el cambio completo de la cadena de aisladores, y vuelve a su condición inicial [58], [59].

A medida que la acción de mantenimiento sobre el elemento es más elaborada, esta origina un mayor costo. En este caso, los costos incluyen no solo el remplazo de la parte o materiales utilizados, sino el traslado al sitio, que generalmente es geográficamente distante.

Los PM aplicados a cadenas de aisladores de sistemas de potencia se centran en un solo tipo de actividad de mantenimiento (descritas aquí como tipo 1) [57]. En este trabajo se incorporan e integran más de un tipo de actividades, que solo se mencionan de forma aislada en algunas propuestas [58], [59].

En los diferentes casos que se analizan, que se seleccionaron considerando diversidad en los costos asociados a las variables y el modelo, se supone que la acción de mantenimiento es en toda la línea. Por ejemplo, si se considera la línea que va desde 1 hasta 3 (elemento 1-3 de la figura 1), el mantenimiento es en todas las cadenas de aisladores de todas las torres, desde el inicio hasta el final de la línea.

2.1. Caso 1: costos de mantenimiento y factores de mejora iguales

El horizonte de planificación del mantenimiento es de T = 3000 ut (unidades de tiempo) y se considera que las acciones de mantenimiento pueden ejecutarse en periodos discretos, cada tp = 500 ut.

Se asume que todos los elementos son idénticos, con parámetros de la distribución de Weibull β = 2,5 y σ = 4000. Los factores de mejora, de acuerdo con los tipos de acciones de mantenimiento, también se suponen iguales para todos los elementos, con valores de m1 = 0,8 y m2 = 0,5.

Los costos asociados al tipo de acciones de mantenimiento se suponen iguales para todos los elementos: C_i^T3=40 um (unidades monetarias), C_i^T2=0,6*C_i^T3 y C_i^T1=0,3*C_i^T3. El costo fijo de falla del sistema se supone en C^fsist=0,05 um.

Para evaluar la confiabilidad del sistema mediante el procedimiento descrito en 1.3, el número de evaluaciones es de Nsimul = 500, y el flujo meta es el flujo base del sistema en condiciones normales, esto es, Flujo_consigna = 25.

La evaluación del flujo máximo se realiza con el procedimiento de la biblioteca igraph del software libre R. Así mismo, la optimización multiobjetivo se realiza mediante el algoritmo NSGA-II, rutina de la biblioteca mco del mencionado software. Se utilizan los parámetros por defecto de la rutina, ajustando únicamente los referidos al número de generaciones (gen = 40) y al tamaño de la población (pop = 24). A manera referencial, el tiempo de cómputo para este caso fue de 44 minutos, en un computador Intel Pentium G860@3 Ghz y 4 GB RAM. Casi el 90 % del tiempo de cómputo está asociado a la estimación de la confiabilidad.

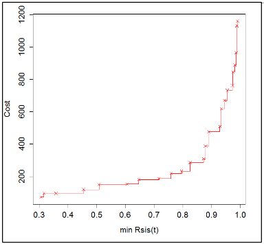
Los resultados obtenidos pueden observarse en las figuras 3, 4 y 5. La figura 3 muestra la frontera de Pareto aproximada con las posibles soluciones, donde se constata el compromiso existente entre ambos objetivos: mejorar la confiabilidad del sistema, implica incrementar los costos de mantenimiento.

Figura 3

Caso 1: frente de Parteo aproximado

En la figura 4 se han seleccionado tres estrategias de PM, las cuales representan: la estrategia de mayor confiabilidad (S#2), la estrategia de menor confiabilidad (S#1) y una estrategia de confiabilidad media (S#6). Las estrategias S#2 y S#1 se encuentran detalladas en la tabla 1.

Figura 4

Caso 1: estrategias de PM del sistema para estrategia de mayor confiabilidad (S#2), estrategia de menor confiabilidad (S#1) y estrategia de confiabilidad media (S#6

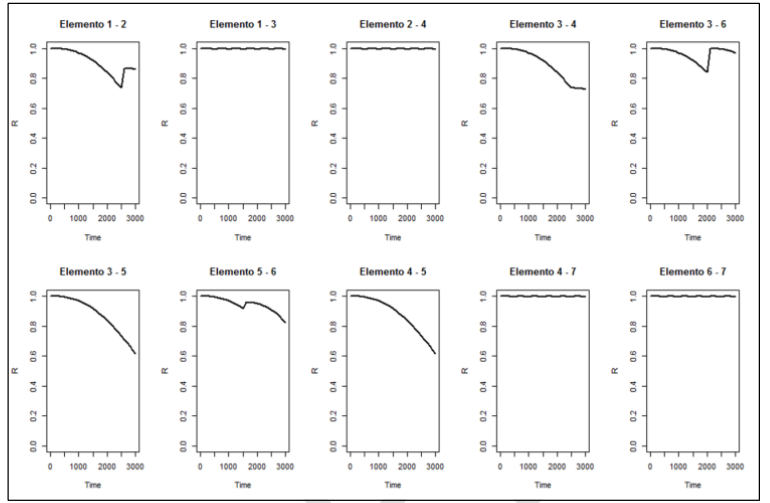
Por otra parte, la Figura 5 muestra la confiabilidad del sistema (Rsist) durante el horizonte de tiempo del PM, para cada una de las estrategias encontradas.

Figura 5

Caso 1: confiabilidad del sistema en el horizonte de tiempo del PM (los números 1, 2, 3… corresponden a la confiabilidad de cada una de las estrategias evaluadas por el algoritmo multiobjetivo

El seleccionar una solución corresponde a una decisión que valore y contraste, adecuadamente, la relación entre los costos y la confiabilidad del sistema.

En la tabla 1 se escogieron las tres mejores y las tres peores estrategias, teniendo en cuenta la confiabilidad del sistema como criterio. Nótese cómo para las mejores estrategias, en los elementos 1-3, 2-3 y 4-7 hay mayor frecuencia de mantenimiento y tipo de mantenimiento con máxima mejora (tipo 3). Esto significa que estos elementos se consideran importantes para el sistema, ya que requieren mayores intervenciones. Por otra parte, las estrategias con menor confiabilidad realizan escasas intervenciones de mantenimiento en los elementos.

Tabla 1

Estrategias del PM con mejores y peores Rsist

Es importante resaltar que los elementos donde se centran los recursos de mantenimiento (1-3, 2-3 y 4-7) coinciden con los considerados más importantes por el método de cortes mínimos para evaluación de confiabilidad, mostrado en [50].

2.2. Caso 2: costos de mantenimiento diferente por elementos

En este caso se consideran costos de mantenimiento diferente para los elementos del sistema. Los sistemas eléctricos de potencia ocupan grandes extensiones de territorio y, por tanto, la ubicación de sus elementos es dispersa desde el punto de vista geográfico. En el mantenimiento de las cadenas de aisladores de sus líneas de transmisión debe considerarse el traslado al sitio [58], lo cual implica costos distintos según distancias, equipos utilizados, entre otros aspectos. Para ilustrar esta situación, se varían los costos asociados al tipo de acciones de mantenimiento C_x^T3=90 um donde x son las líneas de transmisión 1-2, 1-3, 2-3, 2-4; C_x^T3=40 um para x en 3-5, 3-6, 5-6 y C_x^T3=20 um con x 4-5, 4-7, 6-7. Para los tres grupos se cumple que C_x^T2=0,6*C_x^T3 y C_x^T1=0,3*C_x^T3. El resto de los parámetros del caso 1 permanece igual. El tiempo de cómputo para este caso fue de 42 minutos.

En la ¡Error! No se encuentra el origen de la referencia. se observa el frente de Pareto aproximado para esta condición; los costos de las soluciones, como es de esperar, se incrementan, debido al incremento de los costos de mantenimiento a los elementos.

Por ejemplo, la mejor solución en cuanto a confiabilidad S#1 —resaltada en color negro en la figura 6—¡Error! No se encuentra el origen de la referencia., con el valor de los objetivos de esta solución son Rsist = 0,98 y CT = 1489,87, y la estrategia por elementos es como sigue {Elemento/Tipo de mantenimiento/Periodo del mantenimiento}: {1-2/ T2/ 2500}, {1-3/ T3/ 500}, {2-4/ T3/ 500}, {3-4/ T1/ 2500}, {3-6/ T3/ 2000}, {5-6/ T2/ 1500}, {4-7/ T3/ 500}, {6-7/ T3/ 500}. En los elementos 3-5 y 4-5 no se considera mantenimiento en esta estrategia. Las otras dos curvas mostradas en la figura 7 representan: estrategia de menor confiabilidad (S#2) en color rojo y estrategia de confiabilidad media (S#16) en color azul.

Figura 8

Caso 2: frente de Pareto aproximado

Figura 9

Caso 2: estrategias de PM del sistema para:estrategia de mayor confiabilidad (S#1), estrategia de menor confiabilidad (S#2) y estrategia de confiabilidad media (S#16

En la Figura 11 se muestran los valores de Rsist de todas las soluciones pertenecientes al Pareto de la figura 10.

Figura 11

Caso 2: confiabilidad del sistema en el horizonte de tiempo del PM (los números 1, 2, 3… corresponden a la confiabilidad de cada una de las estrategias evaluadas por el algoritmo multiobjetivo

Si se consideran los efectos de cada mantenimiento sobre cada elemento de forma individual y se analiza el comportamiento de la confiabilidad del elemento, como se muestra en la figura 12, puede notarse cómo los elementos que implican menor costo 4-7, 5-6, 3-6 y 6-7 han incrementado la frecuencia de mantenimiento (respecto al caso 1), o bien el tipo de mejora. Para este caso, con costos de mantenimiento diferente por elementos, el modelo consistentemente incrementa la Rsist, asignando más recursos a los elementos que implican menores costos

Figura 13

Caso 2: confiabilidad de los elementos para la estrategia S#1 (mayor Rsist

2.3. Caso 3: factores de mejora del mantenimiento diferente por elementos

Otra consideración que puede evaluarse es el hecho de que los factores de mejora en los mantenimientos no sean iguales para todos los elementos. Esto pudiera estar asociado a diferentes marcas de repuestos o, incluso, a que los equipos encargados de las acciones de mantenimiento no posean la misma destreza, por ejemplo.

Para este caso, se suponen los siguientes valores para m1 y m2: para las líneas de transmisión 1-2, 1-3, 2-3, 2-4, m1 = 0,8 y m2 = 0,5; y para el resto, m1 = 0,6 y m2 = 0,4. El resto de los parámetros se mantienen como en el caso 1.

Bajo estas nuevas premisas, los resultados del modelo indican que en los elementos con menores factores de mejora tiende a incrementarse el tipo de acción de mantenimiento, de T1 a T2 y de T2 a T3, o la frecuencia del mantenimiento en el horizonte de tiempo. El tiempo de cómputo para este caso fue de 45 minutos.

La Figura 14 muestra la confiabilidad de los elementos (1-2, 1-3, 2-3, 2-4) para la mejor solución S#1 (en este caso), esto es, Rsist = 0,97 y CT = 806.

En este caso, el modelo centra la estrategia de mantenimiento en acciones dirigidas a los elementos que presentan mayor oportunidad de mejora (1-2, 1-3, 2-3, 2-4 con m1 = 0,8 y m2 = 0,5) para la confiabilidad del sistema, ya que todos poseen el mismo costo asociado.

Figura 14

Caso 3: confiabilidad de los elementos (1-2, 1-3, 2-3, 2-4) para la estrategia S#1 (mayor Rsist

Conclusiones

Los planes de PM permiten el mejor uso de los recursos disponibles para el mantenimiento de un sistema, a fin de prevenir fallas y sus efectos asociados. Los PM centrados en la confiabilidad tratan de, a lo largo de un horizonte planteado, conseguir los máximos valores posibles de confiabilidad del sistema.

En este artículo se presentó un modelo de PM multiobjetivo, para sistemas multicomponentes, que considera la confiabilidad del sistema y los costos requeridos en un horizonte dado. La propuesta extiende los trabajos presentados en la literatura, pues considera también sistemas que no poseen funciones de confiabilidad de forma explícita. Para ello se planteó una técnica de evaluación de la confiabilidad, a partir de una SMC.

Adicionalmente, a diferencia de lo presentado en la literatura, se ha considerado, en la estimación de la confiabilidad del sistema, la función de desempeño que el sistema posee. En este trabajo, en particular, se ha asumido como función de desempeño el flujo máximo que puede aguantar el sistema. Sin embargo, es posible cualquier tipo de función.

La respuesta del modelo es un conjunto Pareto de estrategias potenciales. El decisor, basado en criterios como recursos, experiencia, requerimientos particulares, preferencia, entre otros, puede seleccionar la estrategia más adecuada a sus intereses.

Para los tres casos considerados, la selección de las estrategias de solución corresponde a una decisión que evalúa y pondera la relación entre los costos y la confiabilidad del sistema. En estos ejemplos, el modelo selecciona los elementos que pudieran definirse como prioritarios (menor costo de mantenimiento, mayor importancia en la confiabilidad del sistema o mejores factores de mejora en el mantenimiento).

El modelo se ha ilustrado sobre un sistema eléctrico de potencia considerando como elementos susceptibles al PM las cadenas de aisladores de las líneas de transmisión, con diversos tipos de acciones de mantenimiento. En el primero de los casos considerados, los elementos que tienen prioridad en el mantenimiento (1-3, 2-3 y 4-7) coinciden con la combinación de componentes más importantes para la evaluación de la confiabilidad, de acuerdo con [50].

Como investigaciones futuras se plantea desarrollar el modelado e incorporación de la dependencia económica en los PM de sistemas multicomponentes, es decir, optimizar el uso de los recursos si se realiza mantenimiento a múltiples elementos en un mismo tiempo. Desde el punto de vista computacional, se plantea explorar técnicas más eficientes para estimar la confiabilidad (técnicas de reducción de la varianza, metamodelos, entre otros).


Referencias

  • Y. Tsai, K. Wang y L. Tsai, L.,”A study of availability-centered preventive maintenance for multi-component systems”, Reliab. Eng. Syst. Saf., vol. 84, pp. 261-270, 2004.
  • J. Yulan, J. Zuhua y H. Wenrui, “Multi-objective integrated optimization research on preventive maintenance planning and production scheduling for a single machine”, Int. J. Adv. Manuf. Technol., vol. 39, n.º 9-10, pp. 954-964, 2008.
  • M. Liu y D. M. Frangopol, “Multiobjective maintenance planning optimization for deteriorating bridges considering condition, safety y life-cycle cost”, J. Struct. Eng., vol. 131, n.º 5, pp. 833-842, 2005.
  • S. Wang y M. Liu, (2015) “Multi-objective optimization of parallel machine scheduling integrated with multi-resources preventive maintenance planning”, J. Manuf. Syst., vol. 37, pp. 182-192, 2015.
  • F. P. Santos, Â. P. Teixeira y C. G. Soares, “Modeling, simulation and optimization of maintenance cost aspects on multi-unit systems by stochastic Petri nets with predicates”, Simulation, vol. 95, n.º 5, pp. 461-478, 2019.
  • M. Doostparast, F. Kolahan y M. Doostparast, “A reliability-based approach to optimize preventive maintenance scheduling for coherent systems”, Reliab. Eng. Syst. Saf., vol. 126, pp. 98-106, 2014.
  • G. Levitin, L. Xing y Y. Xiang, “Cost minimization of real-time mission for software systems with rejuvenation”, Reliab. Eng. Syst. Saf., vol. 193, p. 106593, 2020.
  • V. Jayabalan y D. Chaudhuri, “Cost optimization of maintenance scheduling for a system with assured reliability”, IEEE Trans. Reliab., vol. 41, n.º 1, pp. 21-25, 1992.
  • Z. Zhao, B. Xiao, N. Wang, X. Yan y L. Ma, “Selective maintenance optimization for a multi-state system considering human reliability”, Symmetry, vol. 11, pp. 652, 2019.
  • X. Wang, Y. Zhang, L. Wang, J. Wang y J. Lu, “Maintenance grouping optimization with system multi-level information based on BN lifetime prediction model”, J. Manuf. Syst., vol. 50, pp. 201-211, 2019.
  • D. Piasson, A. Bíscaro, F. Leão y J. Mantovani, “A new approach for reliability-centered maintenance programs in electric power distribution systems based on a multiobjective genetic algorithm”, Electr. Power Syst. Res., vol. 137, pp. 41-50, 2016.
  • S. Wu, Y. Chen, Q. Wu y Z. Wang, “Linking component importance to optimisation of preventive maintenance policy”, Reliab. Eng. Syst. Saf.,vol. 146,pp. 26-32, 2016.
  • C. Pires, I. Lopes y L. Basto, “Mathematical model for maintenance planning of machine tools”, Procedia Manuf., vol. 38, pp. 1197-1204, 2019.
  • G. Morcous y Z. Lounis, “Maintenance optimization of infrastructure networks using genetic algorithms”, Autom. Constr., vol. 14, n.º 1, pp. 129-142, 2005.
  • B. Lin, J. Wu, R. Lin, J. Wang, H. Wang y X. Zhang, “Optimization of high-level preventive maintenance scheduling for high-speed trains”, Reliab. Eng. Syst. Saf., vol. 183, pp. 261-275, 2019.
  • F. Camci, “The travelling maintainer problem: integration of condition-based maintenance with the travelling salesman problem”, J. Oper. Res. Soc., vol. 65, n.º 9, pp. 1423-1436, 2014.
  • H. Vu, P. Do y A. Barros, “A stationary grouping maintenance strategy using mean residual life and the birnbaum importance measure for complex structures”, IEEE Trans. Reliab., vol. 65, n.º 1, pp. 217-234, 2015.
  • H. Vu, P. Do y A. Barros y C. Bérenguer, “Maintenance grouping strategy for multi-component systems with dynamic contexts”, Reliab. Eng. Syst. Saf., vol. 132, pp. 233-249, 2014.
  • X. Zhou, K. Huang, L. Xi y J. Lee, “Preventive maintenance modeling for multi-component systems with considering stochastic failures and disassembly sequence”, Reliab. Eng. Syst. Saf., vol. 142, pp. 231-237, 2015.
  • C. Syan y G. Ramsoobag, “Maintenance applications of multi-criteria optimization: a review”, Reliab. Eng. Syst. Saf., vol. 190, pp. 106520, 2019.
  • F. Camci, “Maintenance scheduling of geographically distributed assets with prognostics information”, Eur. J. Oper. Res., vol. 245, n.º 2, pp. 506-516, 2015.
  • K. Huynh, I. Castro, A. Barros y C. Bérenguer, “Modeling age-based maintenance strategies with minimal repairs for systems subject to competing failure modes due to degradation and shocks”, Eur. J. Oper. Res., vol. 218(1), pp. 140-151, 2012.
  • B. de Jonge y P. Scarf, “A review on maintenance optimization”, Eur. J. Oper. Res.,vol. 285, pp. 805-824, 2019.
  • L. Thomas, “A survey of maintenance and replacement models for maintainability and reliability of multi-item systems”, Reliability Engineering, vol. 16, pp. 297-309, 1986.
  • M. Marseguerra, E. Zio y L. Podofillini, “Condition-based maintenance optimization by means of genetic algorithms and Monte Carlo simulation”, Reliab. Eng. Syst. Saf., vol. 77(2), pp. 151-165, 2002.
  • Y. Zhou, Z. Zhang, T. Lin y L. Ma, “Maintenance optimisation of a multi-state series–parallel system considering economic dependence and state-dependent inspection intervals”, Reliab. Eng. Syst. Saf., vol. 111, pp. 248-259, 2013.
  • Y. Zhou, T. Lin, Y. Sun y L. Ma, “Maintenance optimisation of a parallel-series system with stochastic and economic dependence under limited maintenance capacity”, Reliab. Eng. Syst. Saf., vol. 155, pp. 137-146, 2016.
  • Y. Zhou, T. Lin, Y. Sun, Y. Bian y L. Ma, “An effective approach to reducing strategy space for maintenance optimisation of multistate series–parallel systems”, Reliab. Eng. Syst. Saf., vol. 138, pp. 40-53, 2015.
  • M. Keizer, R. Teunter y J. Veldman, “Clustering condition-based maintenance for systems with redundancy and economic dependencies”, Eur. J. Oper. Res., vol. 251, n.º 2, pp. 531-540, 2016.
  • C. Dao y M. Zuo, “Optimal selective maintenance for multi-state systems in variable loading conditions”, Reliab. Eng. Syst. Saf., vol. 166, pp. 171-180, 2017.
  • C. Dao y M. Zuo, “Selective maintenance of multi-state systems with structural dependence”, Reliab. Eng. Syst. Saf., vol. 159, pp. 184-195, 2017.
  • Y. Zhou, Y. Guo, T. Lin y. L. Ma, “Maintenance optimisation of a series production system with intermediate buffers using a multi-agent FMDP”, Reliab. Eng. Syst. Saf., vol. 180, pp. 39-48, 2018.
  • J. Barata, C. Soares, M. Marseguerra y E. Zio, “Simulation modelling of repairable multi-component deteriorating systems for ‘on condition’ maintenance optimisation”, Reliab. Eng. Syst. Saf., vol. 76(3),pp. 255-264, 2002.
  • M. Shafiee, M. Finkelstein y C. Bérenguer, “An opportunistic condition-based maintenance policy for offshore wind turbine blades subjected to degradation and environmental shocks”, Reliab. Eng. Syst. Saf., vol. 142, pp. 463-471, 2015.
  • Q. Zhu, H. Peng y G. van Houtum, “A condition-based maintenance policy for multi-component systems with a high maintenance setup cost”, Or Spectrum, vol. 37(4), pp. 1007-1035, 2015.
  • K. Bouvard, S. Artus, C. Bérenguer y V. Cocquempot, “Condition-based dynamic maintenance operations planning & grouping: Application to commercial heavy vehicles”, Reliab. Eng. Syst. Saf., vol. 96(6), pp. 601-610, 2011.
  • K. Nguyen, P. Do y A. Grall, “Multi-level predictive maintenance for multi-component systems”, Reliab. Eng. Syst. Saf., vol. 144, pp. 83-94, 2015.
  • A. Van Horenbeek y L. Pintelon, “A dynamic predictive maintenance policy for complex multi-component systems’”, Reliab. Eng. Syst. Saf., vol. 120, pp. 39-50, 2013.
  • E. Zio, E. “System reliability and risk analysis”, en The Monte Carlo Simulation Method for System Reliability and Risk Analysis. London: Springer, 2013.
  • L. Ford y D. Fulkerson, Flows in Networks. Princeton, NJ: Princeton University Press, 1962.
  • C. Rocco, K. Barker, J. Moronta y J. Ramírez-Márquez, “Multiobjective formulation for protection allocation in interdependent infrastructure networks using an attack-diffusion model”, J. Infrastruct. Syst., vol. 24, n.º 1, pp. 04018002, 2018.
  • K. Deb, A. Pratap, S. Agarwal y T. Meyarivan, “A fast and elitist multiobjective genetic algorithm: NSGA-II”, IEEE Trans. Evol. Comput., vol. 6, n.º 2, pp. 182–197, 2002.
  • C. Coello, “A comprehensive survey of evolutionary-based multiobjective optimization techniques”, Knowl. Inf. Syst., vol. 1, n.º 3, pp. 129–156, 1999.
  • M. Compare, F. Martini y E. Zio “Genetic algorithms for condition-based maintenance optimization under uncertainty”, Eur. J. Oper. Res., vol. 244, n.º 2, pp. 611–623, 2015.
  • A. Goti, “Condition based maintenance optimization of multi-equipment manufacturing systems by combining discrete event simulation and multiobjective evolutionary algorithms”, en Discrete Event Simulations. Croacia: InTech, 2010.
  • D. Piasson, A. Bíscaro, F. Leão y J. Mantovani, “A new approach for reliability centered maintenance programs in electric power distribution systems based on a multiobjective genetic algorithm”, Electric Power Syst. Res., vol. 137, pp. 41–50, 2016.
  • C. Yang, R. Remenyte-Prescott y J. Andrews, “Pavement maintenance scheduling using genetic algorithms”, Int. J. Perform. Eng., vol. 11, n.º 2, pp. 135–52, 2015.
  • F. G. Méndez y C. A. C. Coello, “Optimización multiobjetivo usando algoritmos genéticos culturales”, tesis de maestría, Instituto Politécnico Nacional, México, 2011. [En línea]. Disponible: https://www.cs.cinvestav.mx/TesisGraduados/2011/TesisFernandoGutierrez.pdf
  • K. Deb, S. Agrawal, A. Pratap y T. Meyarivan, “A fast elitist non-dominated sorting genetic algorithm for multi-objective optimization: NSGA-II”, en M. Schoenauer et al. (eds.), Parallel Problem Solving from Nature PPSN VI. PPSN 2000. Lecture Notes in Computer Science, vol. 1917. Berlín: Springer, 2000. https://doi.org/10.1007/3-540-45356-3_83
  • G. Anders, “Reliability”, en Probability Concepts in Electric Power Systems. John Wiley and Sons, 1990, pp. 327-328.
  • M. Gençoğlu y M. Cebeci, “The pollution flashover on high voltage insulators”, Electr. Power Syst. Res., vol. 78, n.º 11, pp. 1914-1921, 2008.
  • J. Ramos Hernanz, J. J. Campayo Martín, J. Motrico Gogeascoechea e I. Zamora Belver, “Insulator pollution in transmission lines”, Renew. Energy Power Qual. J., vol. 1, pp. 124–130, 2006. [En línea]. Disponible: http://www.icrepq.com/icrepq06/256-hernanz.pdf
  • B. Yssaad y A. Abene, “Rational reliability centered maintenance optimization for power distribution systems”, Int. J. Electr. Power Energy Syst., vol. 73, pp. 350-360, 2015.
  • J. Burnham y R. Waidelich, “Gunshot damage to ceramic and nonceramic insulators”, IEEE Trans. Power Del., vol. 12, n.º 4, pp. 1651-1656, 1997.
  • S. Birlasekaran y H. Li, “Detection of faulty insulators on power transmission line”, en 2000 IEEE Power Engineering Society Winter Meeting. Conference Proceedings, vol. 4, pp. 2817-2821, 2000.
  • “IEEE guide for cleaning insulators”, en IEEE Std 957-2005 (Revision of IEEE Std 957-1995), pp. 1-75, 20 Sept. 2005.
  • M. Cortés-Carmona, P. Medina e Y. Guevara-Cedeño, “Optimal programming of insulator washing in transmission lines and substations”, en 2017 CHILEAN Conference on Electrical, Electronics Engineering, Information and Communication Technologies (CHILECON) (pp. 1-7). IEEE, 2017.
  • C. Silva Pacheco, “Modelo de mantenimiento para aisladores contaminados en la línea 220 kv Cóndores-Parinacota”, tesis de pregrado, Univ. Tec. Federico Santa María, Chile, 2018. [En línea]. Disponible: https://repositorio.usm.cl/bitstream/handle/11673/42728/3560900255067UTFSM.pdf?sequence=1
  • J. Dioses y G. Hinostroza, “Monitoreo y control de la contaminación en los aisladores de las líneas de transmisión de 500 kv dentro de la franja costera centro-sur peruana”, tesis de pregrado, Univ. Nac. del Callao, Perú, 2019. [En línea]. Disponible: http://repositorio.unac.edu.pe/bitstream/handle/UNAC/4329/DIOSES%20SORIANO%20Y%20HINOSTROZA%20RIVERA%20ELECTRICA%20TITULO.pdf?sequence=1&isAllowed=y