Solución analítica de la ecuación de Richards en suelos no saturados basada en el modelo de Gardner. Caso de difusividad constant

Analytical Solution of Richards' Equation in Unsaturated Soils based on Gardner's Model. Constant Diffusivity case study


Artículos
Recibido: 28/05/2019
Aprobado: 10/03/2020

Autores

Sánchez Quispe Hugo Rolando

Ingeniero automotriz, MSc, Profesor Investigador, Escuela Superior Politécnica del Chimborazo -Espoch. hugo.sanchez@espoch.edu.ec

Chipantiza Juan Gabriel

Bonilla Amanda

Mendoza Julio Cesar

Ingeniero Mecánico, MSc, Profesor Investigador Universidad Centroccidental Lisandro Alvarado. cmendoza@ucla.edu.ve

Resumen

El artículo se centra en encontrar la solución analítica de la ecuación de Richards, usada para modelar el movimiento del agua en un medio poroso no saturado y para restringir el estudio a la circulación vertical descendente del fluido, con fuentes de humedad nulas y difusividad constante en el suelo. Se empleó la relación constitutiva de Gardner. Los resultados arrojados muestran que empleando la relación de Gardner se consigue una solución para el contenido de humedad en el suelo de tipo exponencial, tanto en la componente espacial como en la temporal y dependiente del autovalor γ, el cual restringe las soluciones particulares del modelo de Gardner a un conjunto determinado de valores

Palabras clave: infiltración, movimiento del agua, medio poroso, permeabilidad

Abstract

The main objective of this research was to find the analytical solution of the Richards equation, which is used to model the movement of water in an unsaturated porous medium, restricting the study to the downward vertical circulation of the fluid, with sources of moisture null and constant diffusivity in the soil. The results indicate that using Gardner's relationship, a solution for the moisture content in the soil of an exponential type is achieved, both in the spatial and temporal component, reliant on the self-value, which restricts the particular solutions from Gardner's model to a certain set of values. The main objective of this work was to find the analytical solution of the Richards equation, which is used to model the movement of water in an unsaturated porous medium, restricting the study to the downward vertical circulation of the fluid, with sources of moisture null and constant diffusivity in the soil. The constitutive relationship of Gardner was used. The results show that, using the Gardner relationship, a solution for the moisture content in the soil of an exponential type is achieved, both in the spatial and temporal component and dependent on the self-value γ, which restricts the particular solutions from the Gardner model to a certain set of values

Keywords: infiltration, permeability, porous medium, water movement

Introduction

Al flujo de agua en el suelo lo regulan una serie de factores físicos, entre los cuales se destacan la gravedad, la permeabilidad del suelo, la humedad, la densidad y la viscosidad del agua. Determinar el movimiento del agua en el suelo es importante, dado que así se establece con precisión la capacidad de agua disponible para los cultivos [1], la capacidad de recarga de un acuífero [2] y los riesgos de lixiviación e inundación [3]. Ello permitirá una adecuada planificación y diseño de las obras de riego y mitigar los problemas de contaminación de acuíferos.
El movimiento de agua y otros fluidos en el suelo es regido por la Ley de Darcy [4], y partir de ella se han desarrollado ecuaciones como la de Richards [5], que se puede resolver matemáticamente mediante modelos como el de Gardner [6] y Brooks-Corey [7], cuyo propósito es que a través de la modelización matemática se realice una estimación óptima de los parámetros hidrológicos del suelo. No obstante, las soluciones analíticas no han sido precisas, por lo que los valores obtenidos no describen adecuadamente el flujo de agua en el suelo. La necesidad de encontrar modelos matemáticos para estimar los parámetros hidrológicos del suelo radica es que los métodos de campo (p. ej., los infiltrómetros) o los de laboratorios (p. ej., los permeámetros) presentan una alta variabilidad, y no son confiables los resultados.
El suelo y el agua son dos recursos fundamentales en las ciencias agrícolas y en otras muchas especialidades [8]. Estructuralmente, los suelos constituyen un medio particulado y poroso, que se define como un material conformado por una parte sólida o matriz y unos espacios o poros, los cuales pueden ser ocupados por una o varias fases de fluido, ya sean líquidas o gaseosas [9].
Al estar en la superficie del suelo, el agua infiltra hacia su interior y ocupa las cavidades intersticiales obligadas por fuerzas de distintas naturaleza, intensidad y dirección. El movimiento del agua en el suelo ocurre en el caso saturado y en el no saturado. El flujo de agua en un suelo no saturado es el que ocurre sujeto a cualquier condición de humedad menor a la de saturación.
En la fase líquida de un suelo no saturado, tanto el agua como el aire se movilizan por la influencia de los potenciales presentes en este medio. Se admite que el flujo no saturado lo describe la Ley de Darcy, con la diferencia de que la conductividad hidráulica no saturada es inconstante y que varía, predominantemente, en función de la humedad y, en consecuencia, de la succión matricial [10].
La conductividad hidráulica (Ks) representa la mayor o la menor facilidad con que un medio poroso permite el paso de un fluido a través de este por unidad de área transversal a la dirección del flujo. Puede expresarse bajo condiciones saturadas y no saturadas. Para el caso saturado, la conductividad hidráulica se representa por un solo valor que se mide en condiciones de saturación máxima del suelo.
Para el caso no saturado, la conductividad hidráulica varía con el contenido de humedad. No depende de la presión de succión, sino del contenido de humedad [11], y es también función de las características del fluido (viscosidad y peso específico) y de las propiedades geométricas del medio poroso [12]. Esta función es altamente no lineal con el contenido de humedad, por lo que, junto a las curvas de succión, introduce grandes complicaciones a la solución de la ecuación de Richards [13].
La conductividad hidráulica de un suelo no saturado varía con su contenido de humedad. A medida que se infiltra el agua en el perfil del suelo, se llega a condiciones de saturación en las cuales estas adquieren un valor constante [14].
Matemáticamente, la conductividad hidráulica se expresa como:

Dónde: k es la permeabilidad intrínseca del suelo; η es la viscosidad del fluido; ρ es la densidad; g es aceleración de la gravedad y θ es la humedad presente en el suelo.
Entre tanto, la difusividad se interpreta como la transferencia o desplazamiento de moléculas individuales a través de un fluido por medio de los desplazamientos individuales y desordenados de las moléculas, debido a una diferencia de concentraciones. La difusión ocurre en sistemas de fluidos estancados o en fluidos que se están moviendo. Es un coeficiente relativo al comportamiento de un suelo en relación con su capacidad para transmitir agua, la cual a su vez depende las condiciones texturales del suelo y a su porosidad [15].
La conductividad (K) y la difusividad hidráulica (D) para un medio poroso no saturado se relacionan por medio de la ecuación (3):

El objetivo de investigación fue desarrollar una solución analítica, a través de la ecuación de Richards, mediante el modelo matemático de Gardner, a fin de desarrollar una propuesta que describa de modo adecuado el flujo de agua en suelos no saturados y estime de manera precisa los parámetros hidrológicos

1. Metodología

Para resolver la ecuación de Richards se empleó el modelo de Gardner, y previo a la demostración matemática y a la resolución de la ecuación se describen cada uno de estos modelos

1.1. Ecuación de Richards y modelo de Gardner

1.1.1. Ecuación de Richards

La ecuación fue formulada por Richards [16], quien consolidó los aportes realizados por un grupo importante de investigadores ligados al estudio de la física de suelos, formulando una teoría macroscópica general relacionada con el movimiento del agua en un medio poroso no saturado.
La formulación matemática de la ecuación obtenida por Richards deriva de la combinación de un balance de masa sustentado en la ecuación de continuidad y el principio físico del momentum expresado en la Ley de Darcy.
La teoría de Richards se puede formular en el marco de la moderna “teoría del continuo de las mezclas”, a condición de que se reconozca desde el principio la existencia de la separación del medio sólido, del líquido y de la fase gaseosa [17]. Esta teoría rige la dinámica de un fluido incomprensible que fluye en un medio poroso isotérmico, tridimensional, parcialmente saturado, anisotrópico y heterogéneo.
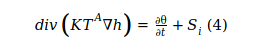
El modelo matemático que dedujo Richards es una ecuación diferencial en derivadas parciales, parabólicas y no lineales [18] que se expresa:

Dónde: K es la conductividad hidráulica; h es el potencial del agua en el suelo; t es el tiempo; θ es la humedad presente en el suelo; TA es un tensor adimensional de segundo orden que representa la naturaleza anisótropa del medio, y S_i es una fuente exterior

1.1.2. Modelo de Gardner

Originalmente, la ecuación de Gardner [6] se propuso para evaluar el coeficiente de permeabilidad en un suelo no saturado y también fue una de las primeras empleadas para representar la curva característica suelo-agua. Sin embargo, la forma matemática propuesta para la ecuación de conductividad se ha deducido para inferir el contenido de humedad en función de la succión del suelo [18]

Dónde: Ks es la conductividad hidráulica para el caso saturado; θr es el contenido de agua residual presente en el suelo; θs es la razón entre el volumen de agua en el interior de los poros del suelo y el volumen total de vacíos.
h_c es el valor relacionado con la presión de entrada de aire al suelo, y α_g es un valor que caracteriza el tipo de suelo

1.2. Formulación matemática

En la figura 1 se muestran las condiciones utilizadas en el estudio.

Figura 1. Esquema de las condiciones utilizadas en el estudio

Sea Ω ⊂ R3 el espacio donde se desarrolla la infiltración del fluido y ∂Ω el entorno de Ω. El contenido de humedad en el suelo se define como θ(x_i,t), donde x_i∈Ω, con i = 1, 2, 3 y t > 0.
El proceso de infiltración del agua en un medio poroso no saturado se rige por la ecuación de Richards, la cual, como se dijo, deriva de la combinación de la ley de conservación de la masa y del campo de velocidades calculado conforme a la Ley de Darcy [19].
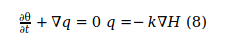
En términos matemáticos, la ley de conservación de la masa se escribe como:

Mientras que la Ley de Darcy expone que:

Al sustituir la ecuación (6) en la (5) y desarrollando convenientemente, se obtiene la ecuación:

Al restringir el estudio a un movimiento del agua exclusivamente vertical (xi = xj) = z y sin fuentes o sumideros (S = 0), se logra reducir el modelo de tres tridimensional a una dimensión, tal como se observa al escribir la ecuación (7):

Desarrollando la derivada parcial de z se consigue:

Ahora:

Entonces:

1.3. Solución analítica

La ecuación (10) es altamente no lineal, lo cual impide encontrarle una solución exacta; entonces, para resolver y encontrar un resultado analítico, se debe considerar el caso hipotético en el cual la difusividad D sea del orden C0 respecto a z, lo cual se basa en los bajos valores de difusividad que son de 0,005 m2 s-1 en suelos arcillosos y de 0,008 m2 s-1 en suelos arenosos [20]. Dado que los valores son extremadamente pequeños, se pueden asumir los valores de D como constantes y así eliminar la no linealidad de la ecuación como lo planteó [21]. Así, tenemos que:

Con lo que ecuación (10) se reduce a:

De las ecuaciones (5) y (6) se consigue que

y

Al sustituir (12) en (11) se obtiene:

Sujeta a la condición inicial:

y a las condiciones de contorno de Dirichlet:

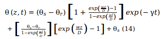
La solución exacta de la ecuación diferencial (13) tiene la forma:

Desde el punto de vista práctico, con la ecuación (14) se modela el flujo de agua u otro fluido en el suelo, que tiene un comportamiento exponencial, siendo un flujo rápido en principio, hasta alcanzar valores contantes cuando el suelo se ha saturado.
El modelado matemático permite la estimación adecuada de parámetros hidrológicos como infiltración, riesgos de lixiviación, y con ello se calcula la demanda hídrica de los cultivos [22], el tiempo y frecuencia de riego [23], el riesgo de escurrimiento y erosión [24], así como los riesgos de lixiviación de agroquímicos o hidrocarburos [25], en estudios de impacto ambiental

Conclusiones

Las fibras de coco presentaron una moderada resistencia a la tracción con un comportamiento con tendencia dúctil. En gran medida estas propiedades se le atribuyen al espesor de fibra, lo que da lugar a una mayor cantidad de imperfecciones. Así mismo, el bajo contenido de celulosa disminuye la resistencia a la tracción de este tipo de fibras.
En cuanto al método de fabricación de los no tejidos, se encontró que los obtenidos a partir del punzonado presentaron una resistencia baja con respecto a los fabricados por adhesión química, donde el látex desempeñó un papel importante a la hora de conferir mayor resistencia al no tejido, teniendo en cuenta que en el punzonado las fibras están sometidas a esfuerzos cortantes a la hora de entrar en contacto con las agujas para el punzonado; mientras que por el lado de la adhesión química el látex funciona como un agente de unión, en el que la unión química genera una mejor cohesión que la generada mecánicamente en el entrelazamiento de las fibras.
Se encontró que la concentración de látex es un parámetro que afecta significativamente la resistencia a la tracción de los no tejidos, pues a mayor concentración de la solución de látex, mayor resistencia mecánica.
Por otro lado, la frecuencia de punzonado mostró una correlación negativa con respecto a la resistencia a la tracción; sin embargo, el efecto de esta no es estadísticamente significativo.
Teniendo en cuenta que las fibras de coco son normalmente desechadas, su uso se convierte en una alternativa de interés para diferentes industrias, porque evita el desecho o la quema de miles de toneladas de cortezas fibrosas de coco. Sin embargo, para obtener un material con mayor resistencia a la tracción, es recomendable para su fabricación utilizar el método de adhesión química, en lugar del punzonado.

2. Resultados y discusión

Para ejemplificar cómo se aplica la solución analítica, se usó el modelo propuesto para evaluar la ecuación (14) en un suelo tipo franco-limoso, el cual presenta las características mostradas en la t1">tabla 1.

Tabla 1. Características hidrodinámicas del suelo tipo franco-limoso G.E.3 [16]

0s 0r Ag Ks he D L
0,396 0,131 0,0007 0,207 0 5 100

Las unidades de cada uno de estos elementos son:

En el caso de la difusividad constante y el empleo de la relación de Gardner, la solución de la ecuación de Richards viene dada por la ecuación (14). Considerando los posibles valores de γ, se presentan los siguientes casos evaluados a continuación:
Caso I: γ = 0
Con esta condición se consigue que:

Esta solución es físicamente inaceptable, ya que se puede interpretar como que no hubo infiltración del agua ubicada en la capa superficial del suelo, y se debe recordar que la condición de contorno en la referencia z = 0 toma el valor θ(z = 0) = θs. También se puede interpretar este resultado como que si la capa superficial del suelo tuviese un valor nulo de θ, lo cual sería una contradicción a la condición de partida impuesta para θ en esta referencia.
Caso II: γ < 0
Tomando en consideración que los valores de γ sean negativos, tendríamos una solución que crece de modo exponencial. Ahora bien, como el caso estudiado se trata de un problema de infiltración de un líquido (en este caso agua) en el suelo, se espera que con el transcurrir del tiempo el problema transitorio se convierta, a lo sumo, en uno estacionario en que el almacenamiento del agua en las cavidades intersticiales del suelo alcance el valor límite de humedecimiento saturado y no que este crezca de manera exponencial hacia el infinito.
Caso III: γ > 0
Para valores positivos de γ, el término exp(-γt) experimenta un decaimiento en su valor, lo cual es indicativo de estar en presencia de una solución física aceptable, pues describe el comportamiento de un suelo no saturado, que se va humedeciendo rápidamente. Así, los valores de infiltración y permeabilidad en los primeros minutos y en los primeros centímetros son altos, pero cuando el espacio poroso pasa a una condición saturada, estos valores se hacen constantes y los potenciales de presión en el suelo tienden a 0.
La figura 2 muestra el comportamiento del proceso de humedecimiento del suelo a medida que el agua se va posicionando de los poros al interior del suelo. La zona superior de la figura, que corresponde a la parte superficial del suelo y a sus estratos más vecinos, se conoce como zona de saturación y transmisión, la cual alcanza una profundidad de 80 cm, y a partir de esta profundidad se inicia la admisión del agua hacia las partes más interiores del suelo, lo que lleva a la saturación de todo el espacio poros; mientras que la tensión se hace prácticamente nula.

Figura 2. Evolución de la humedad en función de la profundidad para el modelo de Gardner cuando γ = 1

La otra zona corresponde a los últimos 20 cm (figura 3), donde el contenido de humedad es menor que el observado en la primera zona; pero que tiende a aumentar. Debido al proceso de infiltración, el tiempo considerado para la ocurrencia del proceso de humedecimiento en ambas dos zonas fue de aproximadamente una hora

Figura 3. Evolución de la tensión en función de la humedad para el modelo de Gardner cuando γ = 0

La importancia de la determinación mediante un modelo matemático se debe a que resultan costosos los métodos por parámetros hidrológicos en campo [15]. Entre tanto, por medio de la determinación de la difusividad en condiciones controladas y de la formulación de modelos matemáticos basados en la ecuación de Richards, se han hecho determinaciones precisas de infiltración [26], conductividad hidráulica [27] y sortividad [15], cuyos valores se usan para el cálculo con fines de sistemas de riego, movimiento de fluidos en el área de hidrocarburos y riesgos de contaminación por lixiviación con agroquímicos

Conclusiones

La ecuación de Richards empleada para estimar la conductividad hidráulica en el suelo es una función altamente no lineal, por lo que su solución analítica solo puede conseguirse si se reduce su no linealidad, imponiendo ciertas restricciones que idealicen, entre otras, las propiedades físicas y mecánicas del suelo infiltrado por el agua. Para ello se consideró que la difusividad sea constante, lo cual permitió eliminar la no linealidad de la ecuación de Richards y posibilitó conseguirle una solución exacta, con lo que se estimarían de manera precisa los parámetros hidrológicos del suelo.
Al evaluar la ecuación de Richards con el modelo para la conductividad hidráulica propuesto por Gardner, y considerando un suelo con ciertas condiciones iniciales y de contorno, se obtuvo la solución descrita por medio de la ecuación (14).
Una solución particular conseguida para la ecuación (14) muestra que la respuesta para el contenido de humedad en el suelo es de tipo exponencial, tanto en la componente espacial como en la temporal.


Referencias

  • E. G. Carnero Carnero y G. G. Carnero Guzmán, “Análisis numérico de infiltración de agua en un suelo residual no saturado utilizando la curva de retención de agua”, Rev. Investig. Altoandinas, vol. 20, n.º 4, pp. 439-450, 2018. http://dx.doi.org/10.18271/ria.2018.421
  • R. Aguilar-García y M. A. Ortega-Guerrero, “Análisis de la dinámica del agua en la zona no saturada en un suelo sujeto a prácticas de conservación: implicaciones en la gestión de acuíferos y adaptación al cambio climático”, Rev. Mex. Cienc. Geol., vol. 34, n.º 2, pp. 91-104, 2017.
  • F. Zamora, N. Rodríguez, D. Torres y H. Yendis, “Efecto del riego con aguas residuales sobre propiedades químicas de suelos de la planicie de Coro, Estado Falcón”, Bioagro, vol. 20, n.º 3, pp. 193-199, 2008.
  • C. Fuentes, B. de León, J. Y. Parlange y A. C. Antonino, “El sistema de ecuaciones de Saint-Venant y Richards del riego por gravedad: 1. La ley potencial de resistencia hidráulica”, Tecnol. Cienc. Agua, vol. 19, n.º 2, pp.65-75, 2015.
  • O. Seguel, I. Fuentes, J. Dörner y J. Cuevas, J. “Propiedades físicas e hidráulicas de suelo y su relación con el movimiento de contaminantes”, Agro Sur, vol. 43, n.º 1, pp. 41-50, 2015. https://doi.org/10.4206/agrosur.2015.v43n1-06
  • W. R. Gardner, “Some steady-state solutions of the unsaturated moisture flow equation with application to evaporation from a water table”, Soil Sci., vol. 85, n.º 4, pp. 228-232, 1958.
  • D. J. Timlin, L. R. Ahuja, Y. Pachepsky, R. D. Williams, D. Gimenez y W. Rawls, “Use of Brooks-Corey parameters to improve estimates of saturated conductivity from effective porosity”, Soil Sci., vol. 63, n.º 5, pp.1086-1092, 1999. https://doi.org/10.2136/sssaj1999.6351086x
  • A. Y. Hoekstra, “Water footprint assessment: evolvement of a new research field”, Water Resour. Manag, vol. 31, n.º 10, pp. 3061-3081, 2017. https://doi.org/10.1007/s11269-017-1618-5
  • J. A. Blanco, “Bosques, suelo y agua: explorando sus interacciones”, Rev. Ecosistemas, vol. 26, n.º 2, pp. 1-9, 2017. https://doi.org/10.7818/ECOS.2017.26-2.01
  • M. Durán-Pinzón, J. Páez-Arango y P. J. García-Guarín, “Numerical modeling and experimental analysis for flows in a homogeneous porous medium through soils”, Iteckne, vol. 15, n.º 1, pp. 24-33, 2018. http://dx.doi.org/10.15332/iteckne.v15i1.1961
  • R. Angulo-Jaramillo, V. Bagarello, M. Iovino y L. Lassabatere, “Saturated soil hydraulic conductivity”, en Infiltration Measurements for Soil Hydraulic Characterization. Springer, 2016, pp. 43-180. https://doi.org/10.1007/978-3-319-31788-5_2
  • M. Zavala, H. Saucedo, C. Fuentes y C. Bautista. “Modelo de conductividad hidráulica dual para el movimiento del agua en suelos Macroporosos”, Agrociencia, vol. 46, n.º 3, pp. 205-220, 2012 [en línea]. Disponible: http://www.scielo.org.mx/scielo.php?script=sci_arttext&pid=S1405-31952012000300001
  • A. A. Torrealba Almarza, “Aplicación de un modelo numérico para estimar curvas de evaporación a partir de información de granulometría básica”, Tesis de Magíster en Ciencias de la Ingeniería, Pontificia Universidad Católica de Chile, 2008.
  • E. F. García-Aristizábal, J. C. Guzmán-Martínez, A. N. Gallego-Hernández y C. A. Vega-Posada, “Análisis numérico unidimensional del proceso de infiltración en suelos parcialmente saturados reforzados con geosintéticos permeables”, Scientia et Technica, vol. 24, n.º 1, pp. 46-56, 2019. http://dx.doi.org/10.22517/23447214.18611
  • L. A. Lozano, G. Soracco, R. Villarreal, R. Filgueira y G. Oliverio, “Difusividad del agua en el suelo: un método simple de laboratorio para su determinación”, Cienc. Suelo, vol. 35, n.º 1, pp. 11-19, 2017 [en línea]. Disponible: http://hdl.handle.net/11336/56701
  • M. Th. van Genuchten, “A closed-form equation for predicting the hydraulic conductivity of unsaturated soils 1”, Soil Sci., vol. 44, n.º 5, pp. 892-898, 1980.
  • C. van Duijn y G. Pieters, Steady Flows in Unsatured soils are Stable. Vol. 16. Eindhoven: Eindhoven University of Technology, 2003.
  • V. Arrarás. “Hydrofem: un modelo tridimensional para la simulación del flujo de agua en medios porosos de saturación variable. Estudio de la zona no saturada del suelo”, en Estudios de la zona no saturada de suelo, vol. VI. Instituto Tecnológico Agrario de Castilla y León, 2003, pp. 271-278 [en línea]. Disponible: https://abe.ufl.edu/faculty/carpena/files/pdf/zona_no_saturada/estudios_de_la_zona_v6/p271-278.pdf
  • J. Samper. Apuntes de hidrología del subsuelo. La Coruña: ETS Ingenieros de Caminos, Canales y Puertos-Universidad de La Coruña. Curso 2013-2014.
  • M. van Genuchten, J. Simunet, F. Leij, y M. Sejna, “RETC version 6: Code for quantifying the hydraulic functions of unsaturated soils”, US Salinity Laboratory, USDA. ARS, USA, 2000.
  • G. López-Canteñs, J. A. Ostos-Santos, A. Rojano-Aguilar, A. Vázquez-Alarcón y E. Arteaga-Tovar, “Aproximación de la ecuación de difusión en el suelo con serie de Fourier”,, Terra Latinoamericana, vol. 24, n.º 4, pp. 443-450, 2006.
  • E. O. L. Robles, I. C. Silva, M. I. Y. Díaz, H. G. Rodríguez, J. M. Monsiváis y S. J. B. Pulido, “Ajuste de modelos empíricos de infiltración en un Umbrisol bajo diferentes tratamientos silvícolas”,, Rev. Mex. Cienc. Forestales, vol. 11, n.º 57, pp. 132-152, 2020. https://doi.org/10.29298/rmcf.v11i57.643
  • M. Servin Palestina, R. A. Sánchez Gutiérrez, O. Ramírez Valle, M. A. Galindo Reyes y H. Gutiérrez Bañuelos, “Modelos para programación y optimización de agua de riego en avena forrajera”, Rev. Mex. Cienc. Pecu., vol. 9, n.º 4, pp. 667-684, 2018. http://dx.doi.org/10.22319/rmcp.v9i4.4404
  • J. L. González-Barrios et al., “Caracterización de la porosidad edáfica como indicador de la calidad física del suelo”, Terra Latinoamericana, vol. 29, n.º 4, pp. 369-377, 2011. https://doi.org/10.13140/2.1.1262.4002
  • M. R. Campos, G. C. Lazo, F. G. Robaina y T. L Seijas, “Curvas tensión humedad y función conductividad hidráulica en suelos pardos”, Revista Ingeniería Agrícola, vol. 10, n.º 2, 2020 [en línea]. Disponible: https://revistas.unah.edu.cu/index.php/IAgric/article/view/1241
  • H. Zhu, T. Liu, B. Xue y G. Wang, “Modified Richards’ Equation to improve estimates of soil moisture in two-layered soils after infiltration”, Water, vol. 10, n.º 9, pp. 1174, 2018. https://doi.org/10.3390/w10091174
  • R. Villarreal, L. A. Lozano, E. M. Melani, M. P. Salazar, M. F. Otero Y C. G. Soracco, “Diffusivity and sorptivity determination at different soil water contents from horizontal infiltration”, Geoderma, vol. 338, pp. 88-96, 2019. https://doi.org/10.1016/j.geoderma.2018.11.045